精英家教网 > 高中数学 > 题目详情

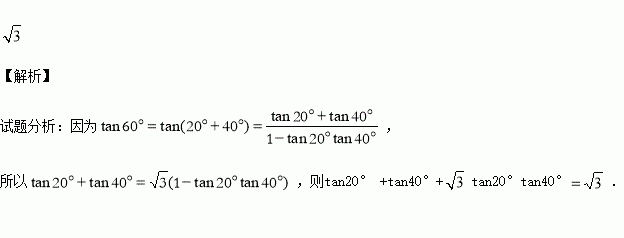
式子tan20° +tan40°+tan20°tan40°的值是____.

练习册系列答案
相关习题

科目:高中数学 来源: 题型:


设m,n是两条不同的直线,α,β是两个不同的平面,下列为真命题的是(  )

A.若m∥α,n∥β,且α∥β,则m∥n

B.若m⊥α,n⊥β,且α⊥β,则m⊥n

C.若m⊥α,n⊂β,m⊥n,则α⊥β

D.若m⊂α,n⊂α,m∥β,n∥β,则α∥β

查看答案和解析>>

科目:高中数学 来源: 题型:


已知三棱锥O ­ ABC的侧棱OA,OB,OC两两垂直,E为OC的中点,且OA=1,OB=OC=2,则平面EAB与平面ABC所成角的余弦值是(  )

A.  B.

C.  D.

查看答案和解析>>

科目:高中数学 来源:2015-2016学年河南省英文学校高二上学期期中考试数学试卷(解析版) 题型:选择题

下列函数中,当取正数时,最小值为2 的是( )

A.

B.

C.

D.

查看答案和解析>>

科目:高中数学 来源:2016届四川省成都市高三11月段测三文科数学试卷(解析版) 题型:选择题

己知F1,F2是双曲线=1(a>0,b>0)的左、右两个焦点,以线段F1F2为直径的圆与双曲线的一条渐近线交于点M,与双曲线交于点N(点M,N均在第一象限),当直线MF1与直线ON平行时,双曲线离心率取值为e0,则e0所在区间为( )

A.(1,) B.() C.(,2) D.(2,3)

查看答案和解析>>

科目:高中数学 来源:2016届江西省高三上学期第三次考试理科数学试卷(解析版) 题型:解答题

已知函数

(Ⅰ)求函数y = f(x)的单调递增区间;

(Ⅱ)当x∈[0,] 时,函数y=f(x)的最小值为 ,试确定常数a的值.

查看答案和解析>>

科目:高中数学 来源:2015-2016学年浙江省高二上学期期中数学试卷(解析版) 题型:解答题

(1)比较的大小;

(2)解关于x的不等式:

查看答案和解析>>

科目:高中数学 来源:2015-2016学年贵州遵义航天高中高二上学期期中数学试卷(解析版) 题型:解答题

如图在直三棱柱中已知AB=BC=1,,D是上的点,且

(1)求AD与C1B1所成的角的大小;

(2)求二面角的余弦值.

查看答案和解析>>

科目:高中数学 来源:2015-2016学年山东省高一上学期期中模块考试数学试卷(解析版) 题型:选择题

,现把满足乘积为整数的叫做“贺数”,则在区间(1,2015)内所有“贺数”的个数是 ( )

A.9 B.10 C. D.

查看答案和解析>>

同步练习册答案