精英家教网 > 高中数学 > 题目详情
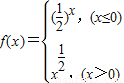
已知,若f(a)<1,则a的取值范围是( )
A.(-∞,0)
B.(0,2)
C.(2,+∞)
D.(-∞,0)∪(0,2)
【答案】分析:对分段函数要进行逐段考虑.
(1)当x≤0时,f(a)=2a<1,(2)当x>0时,f(a)=log2a<1,
根据单调性可分别求出a的取值范围,最后再并起来就可以得到答案.
解答:解:∵x≤0时,f(a)=2a<1,即:a<0,
又∵x>0时,f(a)=log2a<1,即:0<a<2,
∴a<0,或0<a<2,
故选D.
点评:本题主要考查的是指数函数与对数函数的单调性问题,即:底数大于1时单调递增,底数大于0小于1时单调递减.
练习册系列答案
相关习题

科目:高中数学 来源:2011-2012学年湖南省益阳市箴言中学高一(下)第一次月考数学试卷(解析版) 题型:选择题

已知,若f(a)=4,则a的值为( )
A.±1
B.-1,-2
C.1,-2
D.±1,-2

查看答案和解析>>

科目:高中数学 来源:2011-2012学年山东省烟台市莱州一中高三(上)模块检测数学试卷(理科)(解析版) 题型:选择题

已知,若f(x)>1,则x的取值范围是( )
A.(0,1)
B.(-∞,0)∪(0,+∞)
C.(-∞,0)∪(1,+∞)
D.(1,+∞)

查看答案和解析>>

科目:高中数学 来源:2011-2012学年山东省烟台市高三(上)期中数学试卷(理科)(解析版) 题型:选择题

已知,若f(x)>1,则x的取值范围是( )
A.(0,1)
B.(-∞,0)∪(0,+∞)
C.(-∞,0)∪(1,+∞)
D.(1,+∞)

查看答案和解析>>

科目:高中数学 来源:2011-2012学年福建省福州市八县(市)一中高一(上)期中数学试卷(解析版) 题型:选择题

已知,若f(a)=1,则实数a=( )
A.1或3
B.1
C.3
D.-1或3

查看答案和解析>>

同步练习册答案