精英家教网 > 高中数学 > 题目详情

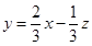
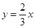
设x,y满足约束条件,则z=2x-3y的最小值是        

 

【答案】

【解析】

试题分析:先作出约束条件的可行域,将目标函数转化为,在坐标系中作出函数的图像,考虑到函数的系数为负号,所以将函数的图像在可行域范围内向上平移,直到可行域的最上顶点A,并求出A点坐标,将其代入目标函数即可求出的最小值(如下图所示).

考点:线性规划问题.

 

练习册系列答案
相关习题

科目:高中数学 来源: 题型:

设x,y满足约束条件,则的取值范围是(    )

A.       B.      C.        D.

查看答案和解析>>

科目:高中数学 来源: 题型:

设x,y满足约束条件则目标函数z=x+y的最大值是

(A)3                (B) 4                (C) 6              (D)8

查看答案和解析>>

科目:高中数学 来源:2012-2013学年广东省陆丰市高二第三次月考文科数学试卷(解析版) 题型:填空题

设x,y满足约束条件,求目标函数z=6x+10y的最大值是           

 

查看答案和解析>>

科目:高中数学 来源:2011-2012学年山西省四校高三第三次联考考试理科数学试卷 题型:选择题

设x,y满足约束条件,若目标函数    (其中)的最大值为3,则的最小值为

A.3                 B.1                 C.2                 D.4

 

查看答案和解析>>

科目:高中数学 来源:2013届内蒙古巴彦淖尔市高二第一学期期中考试数学 题型:选择题

设x,y满足约束条件,若目标函数z =ax + by(a > 0 ,b > 0)的最大值为12 ,则的最小值为                                

A .           B.           C.           D.4

 

查看答案和解析>>

同步练习册答案