精英家教网 > 高中数学 > 题目详情

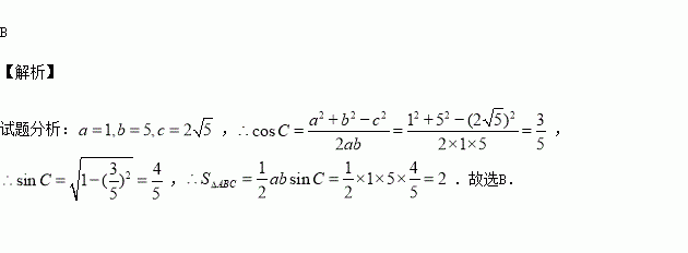
已知中内角的对边,且,则的面积( )

A. B. C. D.

练习册系列答案
相关习题

科目:高中数学 来源:2015-2016学年贵州省高二下期中数学试卷(解析版) 题型:填空题

若直线与直线平行,则实数等于 .

查看答案和解析>>

科目:高中数学 来源:2015-2016学年安徽六安一中高一下周末作业九数学试卷(解析版) 题型:解答题

平面内有三个点(其中),点为坐标原点,且.

(1)求的值;

(2)求向量的夹角.

查看答案和解析>>

科目:高中数学 来源:2015-2016学年湖南长郡中学高一下期中数学试卷(解析版) 题型:解答题

在平面直角坐标系中,已知圆心在轴上,半径为的圆位于轴右侧,且与直线相切.

(1)求圆的方程;

(2)在圆上,是否存在点,使得直线与圆相交不同两点的面积最大?若存在,求出点的坐标及对应的的面积;若不存在,请说明理由.

查看答案和解析>>

科目:高中数学 来源:2015-2016学年湖南长郡中学高一下期中数学试卷(解析版) 题型:填空题

中,,则

查看答案和解析>>

科目:高中数学 来源:2015-2016学年湖南长郡中学高一下期中数学试卷(解析版) 题型:选择题

如图,下列几何体各自的三视图中,有且仅有两个视图相同的是( )

①正方体 ②圆锥 ③三棱台 ④正四棱锥

A.①② B.①③ C.①④ D.②④

查看答案和解析>>

科目:高中数学 来源:2015-2016学年江苏泰州中学高二下第一次质检理科数学卷(解析版) 题型:解答题

某企业有甲、乙两个研发小组,为了比较他们的研发水平,现随机抽取这两个小组往年研发新产品的结果如下:

其中分别表示甲组研发成功和失败;分别表示乙组研发成功和失败.

(1)若某组成功研发一种新产品,成功给该组记1分,否则记0分.试计算甲、乙两组研发新产品的成绩的平均数和方差,并比较甲、乙两组的研发水平;

(2)若该企业安排甲、乙两组各自研发一种新产品,试估计恰有一组研发成功的概率.

查看答案和解析>>

科目:高中数学 来源:2015-2016学年河北省高二4月月考文科数学试卷(解析版) 题型:解答题

已知椭圆的离心率为,短轴长为.

(1)求椭圆的方程;

(2)若是椭圆上的两个动点,为坐标原点,的斜率分别为,问是否存在非零常数使时,的面积为定值?若存在,求的值;否则说明理由.

查看答案和解析>>

科目:高中数学 来源:2015-2016学年河北省高二4月月考理科数学试卷(解析版) 题型:选择题

函数的导数为( )

A. B. C. D.

查看答案和解析>>

同步练习册答案