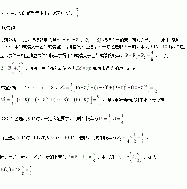
如图所示的茎叶图,记录了甲、乙两名射击运动员训练的成绩(环数),射击次数各为
次.
![]()
(1)试比较甲、乙两名运动员射击水平的稳定性;
(2)每次都从甲、乙两组数据中随机各选取一个进行比对分析,共选取了
次(有放回选取).设选取的两个数据中甲的数据大于乙的数据的次数为
,求
的数学期望.
科目:高中数学 来源:2016届安徽师大附中高三最后一卷文科数学试卷(解析版) 题型:解答题
国内某知名大学有男生
人,女生
人.该校体育学院想了解本校学生的运动状况,根据性别采取分层抽样的方法从全校学生中抽取
人,统计他们平均每天运动的时间,如下表:(平均每天运动的时间单位:小时,该校学生平均每天运动的时间范围是
.)
男生平均每天运动的时间分布情况:
平均每天运动的时间 |
|
|
|
|
|
|
人数 |
|
|
|
|
|
|
女生平均每天运动的时间分布情况:
平均每天运动的时间 |
|
|
|
|
|
|
人数 |
|
|
|
|
|
|
(1)请根据样本估算该校男生平均每天运动的时间(结果精确到
);
(2)若规定平均每天运动的时间不少于
小时的学生为“运动达人”,低于
小时的学生为“非运动达人”.
①根据样本估算该校“运动达人”的数量;
②请根据上述表格中的统计数据填写下面
列联表,并通过计算判断能否在犯错误的概率不超过
的前提下认为“是否为‘运动达人’与性别有关?”
运动达人 | 非运动达人 | 总计 | |
男生 | |||
女生 | |||
总计 |
参考公式:
, 其中![]()
参考数据:
|
|
|
|
|
|
|
|
|
|
|
|
|
|
查看答案和解析>>
科目:高中数学 来源:2016届江西省高三第三次模拟文科数学试卷(解析版) 题型:解答题
选修4-4:坐标系与参数方程
在平面直角坐标系中,已知曲线
的极坐标方程为
,直线
的参数方程为
(
为参数,
为直线的倾斜角).
(1)写出直线
的普通方程和曲线的直角坐标方程;
(2)若直线
与曲线
由唯一的公共点,求角
的大小.
查看答案和解析>>
科目:高中数学 来源:2016届江西省高三第三次模拟文科数学试卷(解析版) 题型:选择题
已知直线
经过圆
:
的圆心,且坐标原点到直线
的距离为
,则直线
的方程为( )
A.
B.![]()
C.
D.![]()
查看答案和解析>>
科目:高中数学 来源:2016届重庆一中高三下学期高考适应性考试理科数学试卷(解析版) 题型:解答题
选修4-4:坐标系与参数方程
在直角坐标系
中,设倾斜角为
的直线![]()
(
为参数)与曲线![]()
(
为参数)相交于不同两点
,
.
(1)若
,求线段
中点
的坐标;
(2)若
,其中
,求直线
的斜率.
查看答案和解析>>
科目:高中数学 来源:2016届重庆一中高三下学期高考适应性考试理科数学试卷(解析版) 题型:选择题
已知
是
所在平面内一点,
,现将一粒黄豆随机撒在
内,则 黄豆落在
内的概率是( )
A.
B.
C.
D.![]()
查看答案和解析>>
科目:高中数学 来源:2016届贵州省招生模拟文科数学试卷(解析版) 题型:解答题
选修4-1:几何证明选讲
已知线段
为圆
的直径,
为圆周上一点,
于
,过
作圆
的切线交
的延长线于
,过
作
垂直
的延长线于
,求证:
![]()
(1)
;
(2)
.
查看答案和解析>>
湖北省互联网违法和不良信息举报平台 | 网上有害信息举报专区 | 电信诈骗举报专区 | 涉历史虚无主义有害信息举报专区 | 涉企侵权举报专区
违法和不良信息举报电话:027-86699610 举报邮箱:58377363@163.com