精英家教网 > 高中数学 > 题目详情
已知抛物线y2=4ax(a>0且a为常数),F为其焦点.
(1)写出焦点F的坐标;
(2)过点F的直线与抛物线相交于P、Q两点,且,求直线PQ的斜率;
(3)若线段AC、BD是过抛物线焦点F的两条动弦,且满足AC⊥BD,如图所示.求四边形ABCD面积的最小值S(a).
【答案】分析:(1)根据抛物线的性质可知p=2a,进而焦点坐标为F(a,0).
(2)假设点为P(x,y)、Q(x1,y1),然后表示出,再根据可以得到(a-x,-y)=2(x1-a,y1),再由y12=4ax1,y2=4ax,可确定,进而可得x=2a,y2=4ax=8a2,即,然后表示出直线PQ的斜率代入即可得到答案.
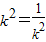
(3)设直线AC的斜率为kAC=k(k≠0),可得到AC的方程然后与抛物线联立得到两根之和、两根之积,根据弦长公式表示出|AC|并化简,然后根据直线AC的斜率可得到直线BD的斜率求出|BD|的弦长,再表示出S四边形ABCD运用基本不等式可确定答案.
解答:解:(1)∵抛物线方程为y2=4ax(a>0),∴焦点为F(a,0).
(2)设满足题意的点为P(x,y)、Q(x1,y1).


又y12=4ax1,y2=4ax


(3)由题可知,直线AC既不平行x轴,也不平行y轴(否则AC,BD与抛物线不会有四个交点),
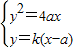
于是,设直线AC的斜率为kAC=k(k≠0),则AC的方程为:y=k(x-a).
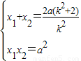
联立方程组,化简得k2x2-2a(k2+2)x+k2a2=0(设点A(x1,y1)、C(x2,y2)),
则x1、x2是此方程的两个根.

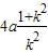
∴弦长
=
=
=
,∴
于是,弦长

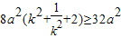
=(当且仅当,即k=±1时,等号成立).
∴S(a)=32a2
点评:本题主要考查抛物线和直线的综合问题.直线和圆锥曲线的综合题一般作为高考的压轴题出现,要想解答正确,就必须对基础知识熟练掌握.
练习册系列答案
相关习题

科目:高中数学 来源: 题型:

已知抛物线C1:y2=4ax(a>0),椭圆C以原点为中心,以抛物线C1的焦点为右焦点,且长轴与短轴之比为
2
,过抛物线C1的焦点F作倾斜角为
π
4
的直线l,交椭圆C于一点P(点P在x轴上方),交抛物线C1于一点Q(点Q在x轴下方).
(1)求点P和Q的坐标;
(2)将点Q沿直线l向上移动到点Q′,使|QQ′|=4a,求过P和Q′且中心在原点,对称轴是坐标轴的双曲线的方程.

查看答案和解析>>

科目:高中数学 来源: 题型:

(2003•东城区二模)已知抛物线C1:y2=4ax(a>0),椭圆C以原点为中心,以抛物线C1的焦点为右焦点,且长轴与短轴之比为
2
,过抛物线C1的焦点F作倾斜角为
π
4
的直线l,交椭圆C于一点P(点P在x轴上方),交抛物线C1于一点Q(点Q在x轴下方).
(Ⅰ)求点P和Q的坐标;
(Ⅱ)将点Q沿直线l向上移动到点Q′,使|QQ′|=4a,求过P和Q′且中心在原点,对称轴是坐标轴的双曲线的方程;
(Ⅲ)设点A(t,0)(常数t>4),当a在闭区间〔1,2〕内变化时,求△APQ面积的最大值,并求相应a的值.

查看答案和解析>>

科目:高中数学 来源:0108 模拟题 题型:解答题

已知抛物线y2=4a(x+a)(a>0),过原点O作一直线交抛物线于A、B两点,如图所示,试求|OA|·|OB|的最小值。

查看答案和解析>>

科目:高中数学 来源:不详 题型:解答题

已知抛物线C1:y2=4ax(a>0),椭圆C以原点为中心,以抛物线C1的焦点为右焦点,且长轴与短轴之比为
2
,过抛物线C1的焦点F作倾斜角为
π
4
的直线l,交椭圆C于一点P(点P在x轴上方),交抛物线C1于一点Q(点Q在x轴下方).
(1)求点P和Q的坐标;
(2)将点Q沿直线l向上移动到点Q′,使|QQ′|=4a,求过P和Q′且中心在原点,对称轴是坐标轴的双曲线的方程.

查看答案和解析>>

科目:高中数学 来源:2006年高考第一轮复习数学:8.3 抛物线(解析版) 题型:解答题

已知抛物线C1:y2=4ax(a>0),椭圆C以原点为中心,以抛物线C1的焦点为右焦点,且长轴与短轴之比为,过抛物线C1的焦点F作倾斜角为的直线l,交椭圆C于一点P(点P在x轴上方),交抛物线C1于一点Q(点Q在x轴下方).
(1)求点P和Q的坐标;
(2)将点Q沿直线l向上移动到点Q′,使|QQ′|=4a,求过P和Q′且中心在原点,对称轴是坐标轴的双曲线的方程.

查看答案和解析>>

同步练习册答案