精英家教网 > 高中数学 > 题目详情

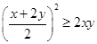
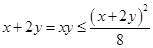
已知正数满足,则的最小值为(  )

A.                   B.                C.                 D.

 

【答案】

A

【解析】

试题分析:因为,又都是正数,解得.

考点:基本不等式及其应用

 

练习册系列答案
相关习题

科目:高中数学 来源:2015届江苏盐城中学高二上学期期中考试理科数学试卷(解析版) 题型:填空题

已知正数满足,则的最小值为        .

 

查看答案和解析>>

科目:高中数学 来源:2014届浙江省高二下学期期中文科数学试卷(解析版) 题型:选择题

已知正数满足,则的最大值为(    )

A.             B.             C.         D.

 

查看答案和解析>>

科目:高中数学 来源:2014届山东省威海市高二上学期期末考试理科数学试卷(解析版) 题型:填空题

已知正数 满足,则的最小值为_____________.

 

查看答案和解析>>

科目:高中数学 来源:2011-2012学年重庆市高三下学期第一次月考理科数学 题型:选择题

已知正数满足,则的最大值为

A.              B.           C.             D.

 

查看答案和解析>>

科目:高中数学 来源:2013届江苏省南京实验国际学校高一下学期期中考试数学试卷 题型:填空题

已知正数满足,则的最小值是        

 

查看答案和解析>>

同步练习册答案