精英家教网 > 高中数学 > 题目详情
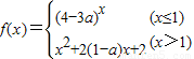
已知函数在R上是增函数,则a的取值范围   
【答案】分析:由题,函数是增函数,可得,解此不等式组即可得到a的取值范围
解答:解:函数在R上是增函数
,解得-1≤a<1
即a的取值范围是[-1,1)
故答案为[-1,1)
点评:本题考点是指数函数单调性的应用,考察了指数函数的单调性,二次函数的单调性,解题的关键是理解题意,由函数的单调性得到a所满足的不等式,本题易因为忘记验证端点处的函数值而导致所求的结论范围扩大,转化时要注意考虑全面,保证等价,本题考察了转化的思想及判断推理的能力,训练了严谨作题的习惯
练习册系列答案
相关习题

科目:高中数学 来源: 题型:

已知定义在R上函数f(x)部分自变量与函数值对应关系如表,若f(x)为偶函数,且在[0,+∞)上为增函数,不等式-1≤f(x)<3的解集是(  )
x 0 2 3 4
y -1 1 2 3

查看答案和解析>>

科目:高中数学 来源: 题型:

x 0 2 3 4
f(x) -1 1 2 3
已知定义在R上函数f(x)部分自变量与函数值对应关系如右表若f(x)为偶函数,且在[0,+∞)上为增函数,不等式1<f(x-1)<2的解集是(  )

查看答案和解析>>

科目:高中数学 来源:大连二十三中学2011学年度高二年级期末测试试卷数学(理) 题型:选择题

已知定义在R上的奇函数,满足,且在区间[0,2]上是增函

数,则(     ).     

A.            B.

C.            D.

 

查看答案和解析>>

科目:高中数学 来源:2012届浙江省高二下学期期末考试理科数学试卷 题型:选择题

已知定义在R上的奇函数,满足,且在区间[0,1]上是增函

数,若方程在区间上有四个不同的根,则

(     )

(A)     (B)      (C)      (D)

 

查看答案和解析>>

科目:高中数学 来源:2011-2012学年浙江省金华一中高一(上)期中数学试卷(解析版) 题型:选择题

x234
f(x)-1123
已知定义在R上函数f(x)部分自变量与函数值对应关系如右表若f(x)为偶函数,且在[0,+∞)上为增函数,不等式1<f(x-1)<2的解集是( )
A.-2<x<-1
B.3<x<4
C.-2<x<-1或3<x<4
D.-2<x<4

查看答案和解析>>

同步练习册答案