精英家教网 > 高中数学 > 题目详情
已知椭圆C的中心为直角坐标系xOy的原点,焦点在x轴上,它的一个顶点到两个焦点的距离分别是7和1,
(Ⅰ)求椭圆C的方程;
(Ⅱ)若P为椭圆C的动点,M为过P且垂直于x轴的直线上的点,(e为椭圆C的离心率),求点M的轨迹方程,并说明轨迹是什么曲线。
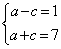
解:(Ⅰ)设椭圆长半轴长及分别为a,c,
由已知得,解得a=4,c=3,
所以椭圆C的方程为
(Ⅱ)设M(x,y),P(x,y1),其中
由已知得
, ①
由点P在椭圆C上得
代入①式并化简得
所以点M的轨迹方程为,轨迹是两条平行于x轴的线段。
练习册系列答案
相关习题

科目:高中数学 来源: 题型:

(本小题满分13分)

        已知椭圆C的中心在的点,焦点在x轴上,F1,F2分别是椭圆C的左、右焦点,M是椭圆短轴的一个端点,过F1的直线与椭圆交于A,B两点,的面积为4,的周长为

   (I)求椭圆C的方程;

   (II)设点Q的从标为(1,0),是否存在椭圆上的点P及以Q为圆心的一个圆,使得该圆与直

线PF1,PF2都相切,若存在,求出P点坐标及圆的方程;若不存在,请说明理由。

查看答案和解析>>

同步练习册答案