精英家教网 > 高中数学 > 题目详情

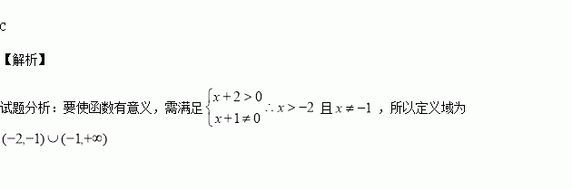
函数的定义域是( )

A.

B.

C.

D.

练习册系列答案
相关习题

科目:高中数学 来源:2016届河南省原名校高三上学期第一次联考文科数学试卷(解析版) 题型:选择题

已知函数,若,则实数等于( )

A. B. C. D.

查看答案和解析>>

科目:高中数学 来源:2015-2016学年辽宁省大连市高二10月月考数学试卷(解析版) 题型:选择题

已知长方形中,的中点,则在此长方形内随机取一点的距离小于的概率为 ( )

A. B. C. D.

查看答案和解析>>

科目:高中数学 来源:2015-2016学年湖北省高二上学期期中理科数学试卷(解析版) 题型:选择题

执行下图所示的程序框图,若要使输入的值与输出的值相等,则这样的值的个数是( )

A.1 B.2 C.3 D.4

查看答案和解析>>

科目:高中数学 来源:2015-2016学年河南省英文学校高一上学期期中考试数学试卷(解析版) 题型:解答题

(本小题满分12分)已知函数

(1)求函数的定义域;

(2)若函数的最小值为―4,求的值.

查看答案和解析>>

科目:高中数学 来源:2015-2016学年广东省英德市高二上学期第一次月考理科数学试卷(解析版) 题型:选择题

若a>b,ab≠0,则下列不等式恒成立的( )

A.< B.<1 C.2a>2b D.lg(b-a)<0

查看答案和解析>>

科目:高中数学 来源:2015-2016学年甘肃省定西市高一上学期第一次月考数学试卷(解析版) 题型:解答题

(本小题12分)已知函数

(1)在坐标系中作出函数的图象;

(2)若,求的取值集合;

查看答案和解析>>

科目:高中数学 来源:2016届浙江省高三10月月考文科数学试卷(解析版) 题型:填空题

若函数在区间[0,]上是单调函数,最大值为,则实数=

查看答案和解析>>

科目:高中数学 来源:2015-2016学年河北省高一上学期第一次月考数学试卷(解析版) 题型:解答题

已知集合A={x| }, B={x| 5<x<10}, C={x|x>a}

(1)求

(2)若,求a的取值范围

查看答案和解析>>

同步练习册答案