精英家教网 > 高中数学 > 题目详情
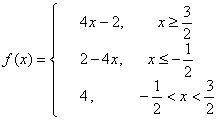
已知函数
(1)求不等式的解集;
(2)若关于x的不等式恒成立,求实数a的取值范围。
解:(1)
②当时,解得,所以

综上,不等式的解集为
(2)因为
所以,要使关于x的不等式恒成立, 要满足
所以,实数a的取值范围时(-∞,4)。
练习册系列答案
相关习题

科目:高中数学 来源: 题型:

已知函数

(1)求在x=1处的切线斜率的取值范围;

(2)求当在x=1处的切线的斜率最小时,的解析式;

(3)在(Ⅱ)的条件下,是否总存在实数m,使得对任意的,总存在,使得成立?若存在,求出实数m的取值范围;若不存在,说明理由.

查看答案和解析>>

科目:高中数学 来源:2012-2013学年山东省淄博市博山实验中学高三(上)12月月考数学试卷(理科)(解析版) 题型:解答题

已知函数
(1)求函数f(x)的最小正周期和单调递增区间;
(2)将函数y=f(x)的图象上各点的纵坐标保持不变,横坐标缩短到原来的,把所得到的图象再向左平移单位,得到的函数y=g(x)的图象,求函数y=g(x)在区间上的最小值.

查看答案和解析>>

科目:高中数学 来源:2011-2012学年山东省烟台市高三(上)期中数学试卷(理科)(解析版) 题型:解答题

已知函数
(1)求函数f(x)的最小正周期和单调递增区间;
(2)将函数y=f(x)的图象上各点的纵坐标保持不变,横坐标缩短到原来的,把所得到的图象再向左平移单位,得到的函数y=g(x)的图象,求函数y=g(x)在区间上的最小值.

查看答案和解析>>

科目:高中数学 来源:2013届辽宁省高二下学期期中考试理科数学试卷(解析版) 题型:解答题

已知函数

(1)求函数的单调区间;

(2)函数的图象在处切线的斜率为若函数在区间(1,3)上不是单调函数,求m的取值范围.

 

查看答案和解析>>

科目:高中数学 来源:2010-2011学年河北省高三上学期第三次考试理科数学卷 题型:解答题

(本题满分12分)

已知函数

(1)求函数的单调区间;

(2)若函数的图象在点处的切线的倾斜角为,对于任意的,函数在区间上总不是单调函数,求的取值范围;

(3)求证:

 

查看答案和解析>>

同步练习册答案