精英家教网 > 高中数学 > 题目详情

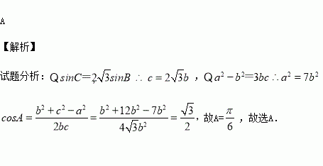
在△ABC中,内角A、B、C的对边分别是a、b、c,若,则 ( )

A. B. C. D.

练习册系列答案
相关习题

科目:高中数学 来源:2015-2016学年河北省高二下期中文科数学试卷(解析版) 题型:填空题

观察下面等式,则按此规律第n个等式为________.

查看答案和解析>>

科目:高中数学 来源:2015-2016学年山西大学附属中学高一下期中数学试卷(解析版) 题型:填空题

已知,若的夹角是锐角,则的取值范围是___

查看答案和解析>>

科目:高中数学 来源:2015-2016学年河北省高一3月月考数学试卷(解析版) 题型:解答题

设数列的前项和为,数的前项和为,满足 .

(1)求的值;

(2)求数列的通项公式.

查看答案和解析>>

科目:高中数学 来源:2015-2016学年河北省高一3月月考数学试卷(解析版) 题型:填空题

若数列的前项和为,则的通项公式是_______.

查看答案和解析>>

科目:高中数学 来源:2015-2016学年河北省高一3月月考数学试卷(解析版) 题型:选择题

ABC中,内角A、B、C的对边分别是,若ABC的面积为,则C=( )

A. B. C. D.

查看答案和解析>>

科目:高中数学 来源:2015-2016学年安徽省高二下周末检测三文数学卷(解析版) 题型:解答题

(1)求值

(2)已知,求的值.

查看答案和解析>>

科目:高中数学 来源:2015-2016学年安徽省高二下周末检测三文数学卷(解析版) 题型:选择题

下列各组函数中,表示同一个函数的是( )

A. B.

C. D.

查看答案和解析>>

科目:高中数学 来源:2015-2016学年福建上杭一中高一下期末模拟二数学试卷(解析版) 题型:选择题

已知向量的夹角为,且,若,且,则实数的值为( )

A. B. C. D.

查看答案和解析>>

同步练习册答案