精英家教网 > 高中数学 > 题目详情

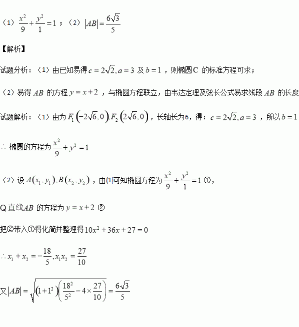
已知椭圆的两焦点分别为,长轴长为6.

(1)求椭圆的标准方程;

(2)已知过点且斜率为1的直线交椭圆两点,求线段的长度.

练习册系列答案
相关习题

科目:高中数学 来源:2016届山东师大附中高三上学期第三次模拟理科数学试卷(解析版) 题型:选择题

已知命题:函数恒过定点:命题:若函数为偶函数,则的图像关于直线对称.下列命题为真命题的是( )

A. B. C. D.

查看答案和解析>>

科目:高中数学 来源:2015-2016学年广西钦州港经济技术开发区中学高二上期中文科数学卷(解析版) 题型:选择题

水平放置的△ABC的直观图如图,其中B′O′=C′O′=1,A′O′=,那么原△ABC是一个( )

A.等边三角形

B.直角三角形

C.三边中只有两边相等的等腰三角形

D.三边互不相等的三角形

查看答案和解析>>

科目:高中数学 来源:2015-2016学年湖南省高二上期中数学试卷(解析版) 题型:解答题

已知函数

(1)若对于恒成立,求实数的取值范围;

(2)若对于恒成立,求实数的取值范围.

查看答案和解析>>

科目:高中数学 来源:2015-2016学年河南省高二上期中文科数学试卷(解析版) 题型:解答题

已知的充分而不必要条件,求实数m的取值范围.

查看答案和解析>>

科目:高中数学 来源:2015-2016学年河南省高二上期中理科数学试卷(解析版) 题型:选择题

椭圆的一个焦点为,则的值是

A. B. C. D.

查看答案和解析>>

科目:高中数学 来源:2015-2016学年河北邢台一中高二上第三次月考理科数学卷(解析版) 题型:填空题

已知椭圆: ,左右焦点分别为,过的直线交椭圆于 两点,则的最大值为________.

查看答案和解析>>

科目:高中数学 来源:2015-2016学年四川省实验学校高一上学期期中考试数学试卷(解析版) 题型:填空题

若存在,使得不等式成立,则实数______.

查看答案和解析>>

科目:高中数学 来源:2015-2016年北大附中河南分校高二宏志班上抽考文数学卷(解析版) 题型:选择题

已知数列的通项),我们把使为整数的叫做优数,则在内所有优数的和为( )

A. B. C. D.

查看答案和解析>>

同步练习册答案