精英家教网 > 高中数学 > 题目详情
读下列程序,并指出此程序用来解决什么问题。

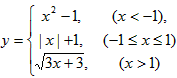
解:由所给程序可知,这是一个求分段函数的函数值的程序,不同的自变量取值范围对应不同的解析式,求函数,的值。
练习册系列答案
相关习题

同步练习册答案