精英家教网 > 高中数学 > 题目详情

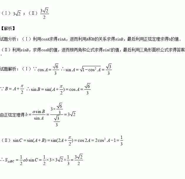
(本小题满分10分)

中,角所对的边分别为.已知

(Ⅰ)求的值;

(Ⅱ)求的面积.

练习册系列答案
相关习题

科目:高中数学 来源:2015-2016学年甘肃省嘉峪关市高二上学期期中考试文科数学试卷(解析版) 题型:选择题

设等差数列的前项和为,若,则当取最小值时, ( )

A. B. C. D.

查看答案和解析>>

科目:高中数学 来源:2015-2016学年浙江省宁波市高一上期中数学试卷(解析版) 题型:选择题

已知集合,若,则实数的值为( )

A. B. C. D.

查看答案和解析>>

科目:高中数学 来源:2015-2016学年湖北省高二上期中文科数学试卷(解析版) 题型:解答题

(本小题满分13分)如图,椭圆的离心率为轴被曲线截得的线段长等于的短轴长。轴的交点为M,过坐标原点O的直线相交于点A、B.

(1)求的方程;

(2)求证:MA⊥MB.

查看答案和解析>>

科目:高中数学 来源:2015-2016学年广西桂林中学高二上期中考试文科数学试卷(解析版) 题型:解答题

(12分)如图,△ABC中,.求AC的长.

查看答案和解析>>

科目:高中数学 来源:2015-2016学年陕西省高二上学期期中考试数学试卷(解析版) 题型:填空题

中, 若,则的外接圆的半径为____.

查看答案和解析>>

科目:高中数学 来源:2015-2016学年辽宁省大连市高二10月月考数学试卷(解析版) 题型:填空题

执行左图,输出的的值

查看答案和解析>>

科目:高中数学 来源:2015-2016学年湖北省高二上学期期中理科数学试卷(解析版) 题型:选择题

一个三棱锥的顶点在空间直角坐标系中的坐标分别是(0,0,1),(1,0,0),(2,2,0),(2,0,0),画该三棱锥三视图的俯视图时,从轴的正方向向负方向看为正视方向,从轴的正方向向负方向看为俯视方向,以平面为投影面,则得到俯视图可以为( )

查看答案和解析>>

科目:高中数学 来源:2016届浙江省高三10月月考文科数学试卷(解析版) 题型:填空题

在约束条件下,目标函数的最大值为4,则的值为 ,目标函数的最小值为________.

查看答案和解析>>

同步练习册答案