精英家教网 > 高中数学 > 题目详情

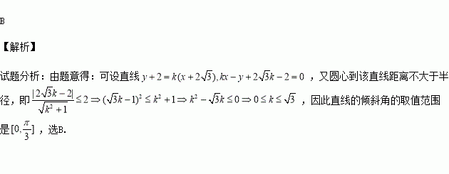
若过点的直线与圆有公共点,则该直线的倾斜角的取值范围是( )

A. B. C. D.

练习册系列答案
相关习题

科目:高中数学 来源:2015-2016学年浙江省温州市十校联合体高一上学期期中考试数学试卷(解析版) 题型:解答题

已知是定义在上的奇函数,当时,函数的解析式为

(1)写出上的解析式;

(2)求上的最大值.

(3)对任意的都有成立,求最小的整数M的值.

查看答案和解析>>

科目:高中数学 来源:2016届河北省高三上学期四调文科数学试卷(解析版) 题型:选择题

设过曲线为自然对数的底数)上任意一点处的切线为,总存在过曲线上一点处的切线,使得,则实数的取值范围为( )

A. B. C. D.

查看答案和解析>>

科目:高中数学 来源:2015-2016学年吉林省高二11月月考理科数学卷(解析版) 题型:选择题

已知双曲线,过右焦点且倾斜角为的直线与双曲线右支有两个交点,则双曲

线的离心率的取值范围是 ( )

A. B.  C. D.

查看答案和解析>>

科目:高中数学 来源:2015-2016学年湖北武汉华中师大一附高一上期中数学试卷(解析版) 题型:选择题

方程的根所在的区间为( )

A. B. C. D.

查看答案和解析>>

科目:高中数学 来源:2016届宁夏六盘山高中高三上学期第二次月考文科数学试卷(解析版) 题型:选择题

等比数列的公比为2,且,则=( )

A、1 B、-1 C、 D、

查看答案和解析>>

科目:高中数学 来源:2016届江苏省高三上学期周练数学试卷(解析版) 题型:填空题

已知实数,若以为三边长能构成一个三角形,则实数的范围为

查看答案和解析>>

科目:高中数学 来源:2016届湖北武汉华中师大一附等高三上第一次联考文数学卷(解析版) 题型:填空题

已知向量,且,则实数等于

查看答案和解析>>

科目:高中数学 来源:2014-2015学年贵州省高二上学期半期考试文科数学试卷(解析版) 题型:解答题

已知双曲线的两个焦点为在双曲线C上.

(1)求双曲线C的方程;

(2)记O为坐标原点,过点Q (0,2)的直线l与双曲线C相交于不同的两点E、F,若△OEF的面积为求直线l的方程.

查看答案和解析>>

同步练习册答案