精英家教网 > 高中数学 > 题目详情

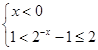
如右图所示的程序框图的输出值,则输入值              

 

 

【答案】

【解析】

试题分析:程序框图表示的是一个分段函数,所以,解得,或..

考点:1、程序框图;2、指数不等式、对数不等式解法.

 

练习册系列答案
相关习题

科目:高中数学 来源: 题型:

精英家教网按如右图所示的程序框图运算,若输出k=2,则输入x 的取值范围是
 

查看答案和解析>>

科目:高中数学 来源: 题型:

5、执行如右图所示的程序框图输出的结果是(  )

查看答案和解析>>

科目:高中数学 来源: 题型:

7、如右图所示的程序框图输出的结果是(  )

查看答案和解析>>

科目:高中数学 来源: 题型:

(2011•花都区模拟)若执行如右图所示的程序框图,则输出的S=
420
420

查看答案和解析>>

科目:高中数学 来源: 题型:

(2013•门头沟区一模)如右图所示的程序框图,执行该程序后输出的结果是
-1
-1

查看答案和解析>>

同步练习册答案