精英家教网 > 高中数学 > 题目详情
设双曲线的右焦点为F(c,0),方程ax2+bx-c=0的两实根分别为x1,x2,则P(x1,x2)( )
A.必在圆x2+y2=2内
B.必在圆x2+y2=2外
C.必在圆x2+y2=2上
D.以上三种情况都有可能
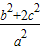
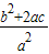
【答案】分析:由题设知,故x12+x22=(x1+x22-2x1x2==>1,所以,点P(x1,x2)必在圆x2+y2=2外.
解答:解:∵

∴x12+x22=(x1+x22-2x1x2
=
=
==1+e2>2.
∴P(x1,x2)必在圆x2+y2=2外.
故选B.
点评:本题考查圆秘圆锥曲线的综合运用,解题时要注意韦达定理和点与圆的位置关系的合理运用.
练习册系列答案
相关习题

科目:高中数学 来源:2011-2012学年新疆乌鲁木齐市高三第三次月考理科数学 题型:填空题

设双曲线的右焦点为F,若过点F且倾斜角为的直线与双曲线的右支有且只有一个交点,则双曲线离心率的取值范围是

 

查看答案和解析>>

科目:高中数学 来源:2010-2011学年广西南宁二中高三10月月考理科数学卷 题型:选择题

设双曲线的右焦点为F,右准线与两条渐近线交于P,Q两点,如果是直角三角形,则双曲线的离心率为      (    )

    A.2    B.  C. D.

 

查看答案和解析>>

科目:高中数学 来源:2013-2014学年吉林省白山市高三(上)摸底数学试卷(理科)(解析版) 题型:选择题

设双曲线的右焦点为F,过点F作与x轴垂直的直线l交两渐近线于A、B两点,与双曲线的其中一个交点为P,设O为坐标原点,若,且,则该双曲线的离心率为( )
A.
B.
C.
D.

查看答案和解析>>

科目:高中数学 来源:2010-2011学年湖北省孝感市高三第一次统考数学试卷(文科)(解析版) 题型:选择题

设双曲线的右焦点为F,右准线l与两条渐近线交于P,Q两点,如果△PQF是直角三角形,则双曲线的离心率为( )
A.2
B.
C.
D.

查看答案和解析>>

科目:高中数学 来源:2010-2011学年安徽省巢湖、六安、淮南三校(一中)高三1月联考数学试卷(文科)(解析版) 题型:选择题

设双曲线的右焦点为F(c,0),方程ax2+bx-c=0的两实根分别为x1,x2,则P(x1,x2)( )
A.必在圆x2+y2=2内
B.必在圆x2+y2=2外
C.必在圆x2+y2=2上
D.以上三种情况都有可能

查看答案和解析>>

同步练习册答案