精英家教网 > 高中数学 > 题目详情

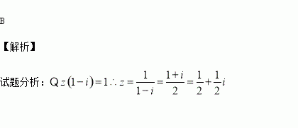
复数满足(其中为虚数单位),则=

A. B. C. D.

练习册系列答案
相关习题

科目:高中数学 来源:2015-2016学年山东省济宁市兖州区高一上学期期中考试数学试卷(解析版) 题型:解答题

已知是定义在内的增函数,且满足

(Ⅰ)求

(Ⅱ)求不等式的解集.

查看答案和解析>>

科目:高中数学 来源:2016届福建省高三上学期期中文科数学试卷(解析版) 题型:选择题

若点满足线性约束条件,点为坐标原点,则的最大值为( )

A.0 B.3 C.-6 D.6

查看答案和解析>>

科目:高中数学 来源:2015-2016学年甘肃省高一上期中数学试卷(解析版) 题型:选择题

若集合,则( )

A. B. C. D.

查看答案和解析>>

科目:高中数学 来源:2015-2016学年广西省钦州市钦南区高二上学期期中考试理科数学试卷(解析版) 题型:解答题

设函数

(1)若函数在区间(-2,0)内恰有两个零点,求a的取值范围;

(2)当a=1时,求函数在区间[t,t+3]上的最大值.

查看答案和解析>>

科目:高中数学 来源:2015-2016学年广东省清远市实验学校高一上学期期中数学试卷(解析版) 题型:选择题

集合{1,2,3}的真子集共有( )

A.5个 B.6个 C.7个 D.8个

查看答案和解析>>

科目:高中数学 来源:2016届北京市朝阳区高三上学期期中统一考试文科数学试卷(解析版) 题型:解答题

已知函数

(Ⅰ)若函数在区间上单调递减,求的取值范围;

(Ⅱ)当时,证明

查看答案和解析>>

科目:高中数学 来源:2015-2016学年河北省高一上学期期中考试理科数学试卷(解析版) 题型:填空题

若函数f(x)=ax﹣1+2(其中a>0且a≠1)的图象经过定点P(m,n),则 m+n=

查看答案和解析>>

科目:高中数学 来源:2016届湖南省高三上第三次月考文数学卷(解析版) 题型:解答题

在某高校自主招生考试中,所有选报II类志愿的考生全部参加了“数学与逻辑”和“阅读与表达”两个科目的考试,成绩分为五个等级.某考场考生的两科考试成绩数据统计如下图所示,其中“数学与逻辑”科目的成绩为的考生有人.

(1)求该考场考生中“阅读与表达”科目中成绩为的人数;

(2)若等级分别对应分,分,分,分,分,求该考场考生“数学与逻辑”科目的平均分;

(3)已知在本考场参加测试的考生中,恰有两人的两科成绩均为.在至少一科成绩为的考生中,随机抽取两人进行访谈,求这两人的两科成绩均为的概率.

查看答案和解析>>

同步练习册答案