精英家教网 > 高中数学 > 题目详情

,则(     )

A.         B.     C.          D.

 

【答案】

A

【解析】

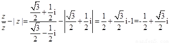
试题分析:

考点:复数的运算.

 

练习册系列答案
相关习题

科目:高中数学 来源: 题型:

已知直线y=a-2x(a>0)与圆x2+y2=9交于AB两点,若·=,则实数a的值为         .

查看答案和解析>>

科目:高中数学 来源:2011年广东省东莞市教育局教研室高二上学期数学文卷A 题型:选择题

已知等差数列的前项和为,若,则等于

A.72           B.54          C.36           D.18

 

查看答案和解析>>

科目:高中数学 来源:2010-2011学年福建省福州市八县(市)协作校高三上学期期中联考文科数学卷 题型:选择题

等差数列的前n项和为,若,则等于(    )

   A.16         B.32         C.44         D.88

 

查看答案和解析>>

科目:高中数学 来源:2013届河北省邯郸市高一下学期期末考试数学试题 题型:选择题

在△中,若,则等于

A.    B.  C.   D.

 

查看答案和解析>>

科目:高中数学 来源:2010-2011年河南省许昌市四校高一下学期四校期中考试数学 题型:选择题

=,则事件A与B的关系是                    (      )

   A  互斥不对立   B  对立不互斥     C互斥且对立   D以上都不对

 

查看答案和解析>>

同步练习册答案