精英家教网 > 高中数学 > 题目详情

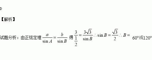
已知中,,则等于( )

A.30° B.30°或150° C.60° D.60°或120°

练习册系列答案
相关习题

科目:高中数学 来源:2015-2016学年安徽省国科大附中高一下期中数学试卷(解析版) 题型:选择题

若数列中,,则=( )

A. B.0 C.1 D.2016

查看答案和解析>>

科目:高中数学 来源:2015-2016学年湖北省黄石市高二下期中理科数学试卷(解析版) 题型:填空题

的二项展开式中的常数项为______.

查看答案和解析>>

科目:高中数学 来源:2015-2016学年湖北省襄阳市四校高一下学期期中联考数学试卷(解析版) 题型:解答题

已知是公差为1的等差数列,,,成等比数列.

(1)求数列的通项公式;

(2)设,求数列的前项和

查看答案和解析>>

科目:高中数学 来源:2015-2016学年湖北省襄阳市四校高一下学期期中联考数学试卷(解析版) 题型:选择题

中,已知,则的形状是( )

A. 直角三角 B. 等边三角形 C. 等腰三角形 D. 等腰直角三角形

查看答案和解析>>

科目:高中数学 来源:2015-2016学年湖北省襄阳市四校高一下学期期中联考数学试卷(解析版) 题型:选择题

的值等于( )

A. B. C. D.

查看答案和解析>>

科目:高中数学 来源:2015-2016学年河南省高一下期中数学试卷(解析版) 题型:填空题

设等比数列{an}的各项均为正数,且a5a6+a4a7=18,则log3a1+log3a2+…+log3a10=

查看答案和解析>>

科目:高中数学 来源:2015-2016学年广东省高一下第一次月考文科数学试卷(解析版) 题型:解答题

某中学调查了某班全部45名同学参加书法社团和演讲社团的情况,数据如下表:(单位:人)

参加书法社团

未参加书法社团

参加演讲社团

未参加演讲社团

(1)从该班随机选1名同学,求该同学至少参加上述一个社团的概率;

(2)在既参加书法社团又参加演讲社团的8名同学中,有5名男同学,3名女同学,现从这5名男同学和3名女同学中各随机选1人,求被选中且未被选中的概率.

查看答案和解析>>

科目:高中数学 来源:2016届湖南师大附中高三下学期高考模拟三文科数学试卷(解析版) 题型:选择题

已知某几何体的三视图如图所示,则该几何体的体积为( )

A. B.8 C. D.

查看答案和解析>>

同步练习册答案