精英家教网 > 高中数学 > 题目详情

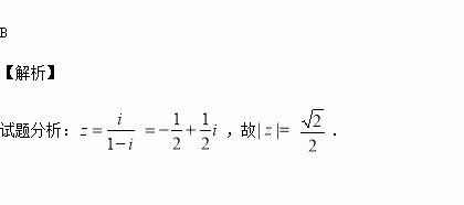
若复数,则( )

A. B. C.1 D.

练习册系列答案
相关习题

科目:高中数学 来源:2016届山西省高三高考考前质量检测考试(三)数学(文)试卷(解析版) 题型:选择题

已知,若圆与双曲线有公共点,则该双曲线离心率的取值范围是( )

A. B. C. D.

查看答案和解析>>

科目:高中数学 来源:2015-2016学年浙江湖州中学高二下学期期中数学试卷(解析版) 题型:选择题

对于在上可导的任意函数,若其导函数为,且满足,则必有( )

A. B.

C. D.

查看答案和解析>>

科目:高中数学 来源:2016届陕西黄陵中学高三下二模考试数学(文)试卷(解析版) 题型:填空题

一个无上盖容器的三视图如下图所示,则该几何体的表面积为__________.

查看答案和解析>>

科目:高中数学 来源:2016届陕西黄陵中学高三下二模考试数学(文)试卷(解析版) 题型:选择题

已知两条直线,且,则直线的一个方向向量是( )

A. B.(-1,-1) C. D.

查看答案和解析>>

科目:高中数学 来源:2017届宁夏高三上学期月考一数学(理)试卷(解析版) 题型:解答题

在等比数列中,,且的等差中项.

(1)求数列的通项公式;

(2)若数列满足.求数列的前项和

查看答案和解析>>

科目:高中数学 来源:2017届宁夏高三上学期月考一数学(理)试卷(解析版) 题型:选择题

在等比数列中,,则能使不等式

成立的最大正整数是( )

A.5 B.6 C.7 D.8

查看答案和解析>>

科目:高中数学 来源:2016-2017汕头潮阳实验学校高二培优班8月月考数学试卷(解析版) 题型:解答题

中,角所对的边分别为,且.

(1)求的值;

(2)若,求的值.

查看答案和解析>>

科目:高中数学 来源:2017届新疆生产建设兵团二中高三上月考一数学(文)试卷(解析版) 题型:解答题

已知向量共线,其中的内角.

(1)求角的大小 ;

(2)若,求的面积的最大值,并判断取得最大值时的形状.

查看答案和解析>>

同步练习册答案