精英家教网 > 高中数学 > 题目详情

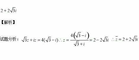
满足的复数的共轭复数 .

练习册系列答案
相关习题

科目:高中数学 来源:2015-2016学年福建省高一上学期期末考试数学试卷(解析版) 题型:选择题

已知平面α外不共线的三点A,B,C到α的距离相等,则正确的结论是( )

A.平面ABC必平行于α

B.平面ABC必不垂直于α

C.平面ABC必与α相交

D.存在△ABC的一条中位线平行于α或在α内

查看答案和解析>>

科目:高中数学 来源:2015-2016学年湖北省孝感市六校高一上期末文科数学试卷(解析版) 题型:解答题

(1)、利用“五点法”画出函数在长度为一个周期的闭区间的简图

(2)、说明该函数图象可由y=sinx(xR)的图象经过怎样平移和伸缩变换得到的。

查看答案和解析>>

科目:高中数学 来源:2015-2016学年湖北省孝感市六校高一上期末文科数学试卷(解析版) 题型:选择题

下列各组的两个向量,平行的是( )

A、 B、

C、 D、

查看答案和解析>>

科目:高中数学 来源:2015-2016学年山东省高二3月月考文科数学试卷(解析版) 题型:解答题

实数取什么值时,复数是(I)实数;(II)虚数;(III)纯虚数.

查看答案和解析>>

科目:高中数学 来源:2015-2016学年山东省高二3月月考文科数学试卷(解析版) 题型:选择题

有一段演绎推理是这样的“任何实数的平方都大于0,因为,所以”.结论显然是错误的,是因为( )

A.大前提错误 B.小前提错误 C.推理形式错误 D.非以上错误

查看答案和解析>>

科目:高中数学 来源:2015-2016学年北京市西城区高二上学期期末考试文科数学试卷(解析版) 题型:解答题

如图1,在△中,中点,,延长.将△沿折起,得到三棱锥,如图2所示.

(Ⅰ)若的中点,求证:∥平面

(Ⅱ)若平面平面,试判断直线与直线能否垂直?并说明理由.

查看答案和解析>>

科目:高中数学 来源:2015-2016学年北京市西城区高二上学期期末考试文科数学试卷(解析版) 题型:选择题

复数的虚部是( )

A. B. C. D.

查看答案和解析>>

科目:高中数学 来源:2015-2016学年北京市东城区高二上学期期末考试文科数学试卷(解析版) 题型:选择题

直线的倾斜角是( )

A. 30° B. 60° C. 120° D. 150°

查看答案和解析>>

同步练习册答案