精英家教网 > 高中数学 > 题目详情
已知数列an的前n项和
(1)令bn=2nan,求证:数列bn是等差数列,并求数列an的通项公式.
(2)令,试比较Tn的大小,并予以证明.
【答案】分析:(1)由题意知S1=-a1-1+2=a1所以2nan=2n-1an-1+1,bn=bn-1+1,再由b1=2a1=1,知数列bn是首项和公差均为1的等差数列.于是bn=1+(n-1)•1=n=2nan,所以
(2),利用错位相减求和法可知,于是确定Tn的大小关系等价于比较2n与2n+1的大小.猜想当n=1,2时,2n<2n+1,当n≥3时,2n>2n+1.然后用数学归纳法证明.
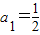
解答:解:(1)在中,令n=1,可得S1=-a1-1+2=a1,即
当n≥2时,
所以
所以,即2nan=2n-1an-1+1
因为bn=2nan,所以bn=bn-1+1,即当n≥2时,bn-bn-1=1
又b1=2a1=1,所以数列bn是首项和公差均为1的等差数列
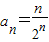
于是bn=1+(n-1)•1=n=2nan,所以
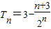
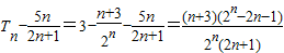
(2)由1)得
所以
由①-②得
所以
于是确定Tn的大小关系等价于比较2n与2n+1的大小.
猜想当n=1,2时,2n<2n+1,当n≥3时,2n>2n+1
下面用数学归纳法证明:
当n=3时,显然成立
假设当n=k(k≥3)时,2k>2k+1成立
则当n=k+1时,2k+1=2•2k>2(2k+1)=4k+2=2(k+1)+1+(2k-1)>2(k+1)+1
所以当n=k+1时,猜想也成立.
于是,当n≥3,n∈N*时,2n>2n+1成立
综上所述,当n=1,2时,
当n≥3时,
点评:本题考查当数列的综合运用,难度较大,解题时要认真审题,注意挖掘隐含条件,解题时要注意数学归纳法的解题过程.
练习册系列答案
相关习题

科目:高中数学 来源: 题型:

已知数列an的前n项和为Sn,且a1=1,Sn=n2an(n∈N),
(1)试计算S1,S2,S3,S4,并猜想Sn的表达式;
(2)证明你的猜想,并求出an的表达式.

查看答案和解析>>

科目:高中数学 来源: 题型:

已知数列an的前n项和Sn=
32
(an-1)
,n∈N+
(1)求an的通项公式;
(2)设n∈N+,集合An={y|y=ai,i≤n,i∈N+},B={y|y=4m+1,m∈N+}.现在集合An中随机取一个元素y,记y∈B的概率为p(n),求p(n)的表达式.

查看答案和解析>>

科目:高中数学 来源: 题型:

已知数列
an
的前n项和为Sn,且Sn=1-an (n∈N*
(I )求数列
an
的通项公式;
(Ⅱ)已知数列
bn
的通项公式bn=2n-1,记cn=anbn,求数列
cn
的前n项和Tn

查看答案和解析>>

科目:高中数学 来源: 题型:

已知数列an}的前n项和为sn,满足(p-1)sn=p2-an,其中p为正常数,且p≠1.
(1)求证:数列{an}为等比数列,并求出{an}的通项公式;
(2)若存在正整数M,使得当n≥M时,a1a4a7…a3n-2>a36恒成立,求出M的最小值;
(3)当p=2时,数列an,2xan+1,2yan+2成等差数列,其中x,y均为整数,求出x,y的值.

查看答案和解析>>

科目:高中数学 来源: 题型:

已知数列an的前n项和为Sn
(Ⅰ)若数列an是等比数列,满足2a1+a3=3a2,a3+2是a2,a4的等差中项,求数列an的通项公式;
(Ⅱ)是否存在等差数列ann∈N*,使对任意n∈N*都有anSn=2n2(n+1)?若存在,请求出所有满足条件的等差数列;若不存在,请说明理由.

查看答案和解析>>

同步练习册答案