精英家教网 > 高中数学 > 题目详情

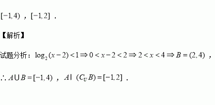
已知全集,集合,集合

练习册系列答案
相关习题

科目:高中数学 来源:2015-2016学年江西南昌二中高二上学期期中文科数学试卷(解析版) 题型:选择题

)在圆外,则直线与圆的位置关系是

A.相切 B. 相交 C.相离 D.不确定

查看答案和解析>>

科目:高中数学 来源:2015-2016学年福建省高一上学期期中数学试卷(解析版) 题型:解答题

(本小题满分12分)已知为定义在 上的奇函数,当时,函数解析式为

(Ⅰ)求上的解析式;

(Ⅱ)求上的最值.

查看答案和解析>>

科目:高中数学 来源:2015-2016学年甘肃省嘉峪关市高二上学期期中考试理科数学试卷(解析版) 题型:解答题

(本小题满分10分)等比数列{}的前n 项和为,已知,,成等差数列.

(1)求{}的公比q;

(2)若=3,求

查看答案和解析>>

科目:高中数学 来源:2016届浙江宁波效实中学高三上期中考试文科数学试卷(解析版) 题型:选择题

已知正的顶点在平面上,顶点在平面的同一侧,的中点,若在平面上的射影是以为直角顶点的三角形,则直线与平面所成角的正弦值的范围是( )_科A. B. C. D.

查看答案和解析>>

科目:高中数学 来源:2016届山东省高三第二次诊断性考试文科数学试卷(解析版) 题型:选择题

已知是定义在上的奇函数,当时,,若,则实数的取值范围是

A. B.

C. D.

查看答案和解析>>

科目:高中数学 来源:2016届河南省原名校高三上学期第一次联考文科数学试卷(解析版) 题型:解答题

(本小题满分12分)已知函数

(1)判断在区间上单调性;

(2)若,函数在区间上的最大值为,求的解析式,并判断是否有最大值和最小值,请说明理由(参考数据:).

查看答案和解析>>

科目:高中数学 来源:2015-2016学年四川绵阳南山中学高二上期中理科数学试卷(解析版) 题型:选择题

抛物线的焦点的坐标是( )

A、 B、 C、 D、

查看答案和解析>>

科目:高中数学 来源:2015-2016学年湖北省高二上学期期中理科数学试卷(解析版) 题型:填空题

是“直线与圆相交”的______________条件.

查看答案和解析>>

同步练习册答案