精英家教网 > 高中数学 > 题目详情

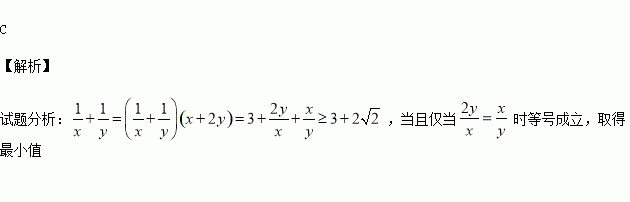
已知正数的最小值为

A、 B、 C、 D、

练习册系列答案
相关习题

科目:高中数学 来源:2016届贵州省贵阳市高三上学期第三次月考文科数学试卷(解析版) 题型:填空题

等比数列的前项和为,若,则该数列的项数

查看答案和解析>>

科目:高中数学 来源:2015-2016学年湖南省常德市高一上学期期中数学试卷(解析版) 题型:选择题

若函数是偶函数,且在上是减函数,则满足的x的取值范围是( )

A. B.

C. D.

查看答案和解析>>

科目:高中数学 来源:2015-2016学年福建省高一上学期期中数学试卷(解析版) 题型:选择题

设函数的定义域都为R,且是奇函数,是偶函数,则下列结论正确的是( )

A.是偶函数

B.||是奇函数

C.||是奇函数

D.||是奇函数

查看答案和解析>>

科目:高中数学 来源:2015-2016学年甘肃省嘉峪关市高二上学期期中考试文科数学试卷(解析版) 题型:解答题

已知数列满足

(1)令,求证:数列为等比数列;

(2)求数列的通项公式;

(3)求满足的最小正整数

查看答案和解析>>

科目:高中数学 来源:2015-2016学年甘肃省嘉峪关市高二上学期期中考试理科数学试卷(解析版) 题型:选择题

在等比数列中,若( )

A.128 B.-128 C.256 D.-256

查看答案和解析>>

科目:高中数学 来源:2016届浙江宁波效实中学高三上期中考试理科数学试卷(解析版) 题型:解答题

满足,则称的不动点.

(1)若函数没有不动点,求实数的取值范围;

(2)若函数的不动点,求的值;

(3)若函数有不动点,求实数的取值范围.

查看答案和解析>>

科目:高中数学 来源:2016届河南省原名校高三上学期第一次联考文科数学试卷(解析版) 题型:填空题

若函数上的增函数,则实数的取值范围是

查看答案和解析>>

科目:高中数学 来源:2015-2016学年福建省师大附高二上期中理科数学试卷(解析版) 题型:填空题

如图,一辆汽车在一条水平的公路上向正西行驶,到处时测得公路北侧一山顶D在西偏北的方向上,行驶600m后到达处,测得此山顶在西偏北的方向上,仰角为,则此山的高度__________m.

查看答案和解析>>

同步练习册答案