精英家教网 > 高中数学 > 题目详情

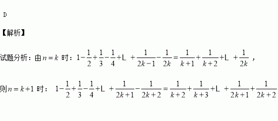
用数学归纳法证明“”时,由的假设证明时,如果从等式左边证明右边,则必须证得右边为( )

A.

B.

C.

D.

练习册系列答案
相关习题

科目:高中数学 来源:2015-2016学年河北冀州中学高一下期末文科数学试卷(解析版) 题型:选择题

是第三象限的角,则( )

A. B. C.2 D.-2

查看答案和解析>>

科目:高中数学 来源:2015-2016学年山东省高一下期中数学试卷(解析版) 题型:填空题

已知点,若向量与向量同向,且,则点的坐标为__________.

查看答案和解析>>

科目:高中数学 来源:2015-2016学年山西省高二3月月考理科数学试卷(解析版) 题型:解答题

已知在中,角的对边分别为,且

(1)求角的大小;

(2)若的面积,求的值.

查看答案和解析>>

科目:高中数学 来源:2015-2016学年山西省高二3月月考理科数学试卷(解析版) 题型:选择题

定义在上的函数,是它的导函数,且恒有成立.则( )

A. B.

C. D.

查看答案和解析>>

科目:高中数学 来源:2015-2016学年山西省高二3月月考理科数学试卷(解析版) 题型:选择题

已知直线与曲线相切,则的值为( )

A. B. C. D.

查看答案和解析>>

科目:高中数学 来源:2015-2016学年山西大学附中高一下学期3月模块诊断数学试卷(解析版) 题型:填空题

设函数的图象为,给出下列命题:

①图象关于直线对称; ②函数在区间内是增函数;③函数是奇函数;④图象关于点对称.⑤的最小正周期为.

其中正确命题的编号是 .(写出所有正确命题的编号)

查看答案和解析>>

科目:高中数学 来源:2015-2016学年四川省雅安市高二下期中理科数学试卷(解析版) 题型:解答题

已知函数

(1)当时,求曲线在点处的切线方程;

(2)当时,求函数的单调区间.

查看答案和解析>>

科目:高中数学 来源:2015-2016学年内蒙古高二下第一次月考文科数学卷(解析版) 题型:选择题

曲线在点(1,5)处的切线的倾斜角为( )

A.135° B.45° C.60° D.120°

查看答案和解析>>

同步练习册答案