精英家教网 > 高中数学 > 题目详情

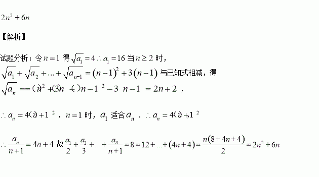
若数列是正项数列,且,则

练习册系列答案
相关习题

科目:高中数学 来源:2016届云南师范大附中高考适应性月考三理科数学试卷(解析版) 题型:解答题

设函数

(Ⅰ)当时,解不等式

(Ⅱ)若的解集为,求证:

查看答案和解析>>

科目:高中数学 来源:2016届黑龙江省齐齐哈尔市高三上期中理科数学试卷(解析版) 题型:填空题

,其中为虚数单位,则___________.

查看答案和解析>>

科目:高中数学 来源:2016届贵州市高三上第四次月考理科数学试卷(解析版) 题型:选择题

已知向量,则函数的最小正周期与最大值分别为( )

A. B. C. D.

查看答案和解析>>

科目:高中数学 来源:2016届宁夏银川市高三上学期统练三理科数学试卷(解析版) 题型:解答题

已知数列是递增的等比数列,且

(1)求数列的通项公式;

(2)设为数列的前n项和,,求数列的前n项和

查看答案和解析>>

科目:高中数学 来源:2016届宁夏银川市高三上学期统练三理科数学试卷(解析版) 题型:选择题

中,,若函数上为单调递减函数,则下列命题正确的是( )

A.

B.

C.

D.

查看答案和解析>>

科目:高中数学 来源:2016届宁夏银川市高三上学期统练三理科数学试卷(解析版) 题型:选择题

,则下列四个数中最大的是( )

A. B. C. D.

查看答案和解析>>

科目:高中数学 来源:2016届宁夏回族自治区银川一中高三上第四次月考文科数学试卷(解析版) 题型:选择题

设F1、F2分别是双曲线的左、右焦点,若双曲线的右支上存在一点P,使的三边长构成等差数列,则此双曲线的离心率为( )

A. B. C.2 D.5

查看答案和解析>>

科目:高中数学 来源:2016届宁夏回族自治区银川一中高三上第四次月考文科数学试卷(解析版) 题型:选择题

已知点F1(-,0),F2(,0),动点P满足|PF2|-|PF1|=2,当点P的纵坐标是时,点P到坐标原点的距离是( )

A.2 B. C. D.

查看答案和解析>>

同步练习册答案