精英家教网 > 高中数学 > 题目详情
直线(t为参数)被曲线所截的弦长为( )
A.
B.
C.
D.
【答案】分析:先把参数方程和极坐标方程化为普通方程,并求出圆心到直线的距离d,再利用关系:l=2即可求出弦长l.
解答:解:直线(t为参数)化为普通方程:直线3x+4y+1=0.
∵曲线,展开为ρ=cosθ-sinθ,∴ρ2=ρcosθ-ρsinθ,化为普通方程为x2+y2=x-y,即
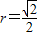
∴圆心C
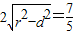
圆心C到直线距离d==
∴直线被圆所截的弦长=
故选C.
点评:正确运用弦长l、圆心到直线的距离、半径r三者的关系:l=2是解题的关键.
练习册系列答案
相关习题

科目:高中数学 来源: 题型:解答题

(1)在平面直角坐标系xOy中,求过椭圆数学公式(φ为参数)的右焦点且与直线数学公式(t为参数)平行的直线的普通方程;
(2)求直线数学公式(t为参数)被曲线数学公式所截得的弦长.

查看答案和解析>>

科目:高中数学 来源:《第1讲 坐标系》、《第2讲 参数方程》2011年单元测试卷(骆驼坳中学)(解析版) 题型:解答题

(1)在平面直角坐标系xOy中,求过椭圆(φ为参数)的右焦点且与直线(t为参数)平行的直线的普通方程;
(2)求直线(t为参数)被曲线所截得的弦长.

查看答案和解析>>

科目:高中数学 来源:2011年陕西省西安中学高考数学第十三次模拟试卷(文科)(解析版) 题型:填空题

(考生注意:请在下列三题中任选一题作答,如果多做,则按所做的第一题评分)
A.(不等式选讲) 若f(x)=|x-t|+|5-x|的最小值为3,则实数t的值是   
B.(平面几何选讲) 已知C点在圆O直径BE的延长线上,CA切圆O于A点,DC是∠ACB的平分线交AE于点F,交AB于D点.∠ADF=   
C.(极坐标与参数方程) 直线(t为参数)被曲线所截的弦长为   

查看答案和解析>>

科目:高中数学 来源:2013学年安徽省芜湖市高考数学二模试卷(理科)(解析版) 题型:选择题

直线(t为参数)被曲线所截的弦长为( )
A.
B.
C.
D.

查看答案和解析>>

同步练习册答案