精英家教网 > 高中数学 > 题目详情

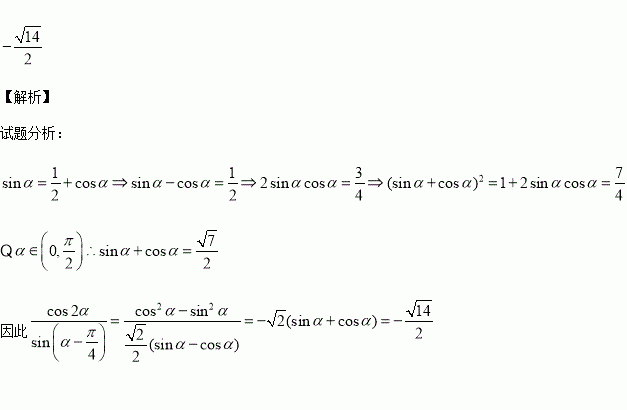
已知,且,则的值为

练习册系列答案
相关习题

科目:高中数学 来源:2016届辽宁省大连市高三10月月考文科数学试卷(解析版) 题型:选择题

,则( )

(A) (B) (C) (D)

查看答案和解析>>

科目:高中数学 来源:2015-2016年河北省高二上学期期中数学试卷(解析版) 题型:解答题

已知椭圆C:的左焦点为,点,直线DF的斜率为.

(1)求椭圆的离心率;

(2)设过点F的直线交椭圆于A,B两点,过点P作与直线AB的倾斜角互补的直线交椭圆于M,N两点,问是否为定值,若是求出此定值,若不是说明理由.

查看答案和解析>>

科目:高中数学 来源:2016届江西省高三上学期期中文科数学试卷(解析版) 题型:填空题

是定义在上的偶函数,对,都有,且当时, .若在区间内关于的方程恰有3个不同实根,则的取值范围是( )

A. B. C. D.

【答案】A

【解析】

试题分析:由,得,所以函数是周期为4的函数.又是偶函数,且时,,所以时,.方程内有三个根,即函数与函数内有三个交点,作出函数图像如图所示,则两个图像在内恰有三个交点的条件是,解得,故选B.

考点:1、指数函数与对数函数的图象与性质;2、函数的零点与方程根的关系;3、不等式的解法.

【方法点睛】方程的根为对应函数的零点,而函数的零点通常还可转化为两个函数的交点,因此求解函数的零点个数通常有两种方法:(1)直接法,即求解出所有的零点;(2)数形结合法,即转化为原函数的图象与轴的交点个数或分解为两个函数相等,进而判断两个函数图象的交点个数,此法往往更实用.而函数函数的图象要求正确,特别是关键点的作法.

【题型】选择题
【适用】较难
【标题】【百强校】2016届江西省临川一中高三上学期期中文科数学试卷(带解析)
【关键字标签】
【结束】
 

,若,则=

查看答案和解析>>

科目:高中数学 来源:2016届江西省高三上学期期中理科数学试卷(解析版) 题型:选择题

函数的图像经过怎样的平移变换得到函数的图像( ).

A.向左平移个单位长度

B.向左平移个单位长度

C.向右平移个单位长度

D.向右平移个单位长度

查看答案和解析>>

科目:高中数学 来源:2016届吉林省高三上学期二模文科数学试卷(解析版) 题型:选择题

如图,函数的图象在P点处的切线方程是,若点P的横坐标是5,则( )

A. B. C. D.

查看答案和解析>>

科目:高中数学 来源:2016届吉林省高三上学期二模理科数学试卷(解析版) 题型:选择题

某几何体的正视图和侧视图均如图1所示,则该几何体的俯视图不可能是( )

查看答案和解析>>

科目:高中数学 来源:2016届甘肃省高三上学期期中理科数学试卷(解析版) 题型:选择题

若将函数y=tan(ω>0)的图象向右平移个单位长度后,与函数y=tan的图象重合,则ω的最小值为( )

A. B. C. D.

查看答案和解析>>

科目:高中数学 来源:2015-2016学年广东东华高中高一上学期前段段考数学试卷(解析版) 题型:解答题

(本小题满分12分)

(1)

(2)

查看答案和解析>>

同步练习册答案