科目:高中数学 来源:2011-2012学年四川省内江市、广安市高三第二次模拟联考试题理科数学(解析版) 题型:选择题
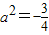
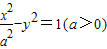
已知双曲线
的一条准线经过抛物线y2=15x的焦点,则该双曲线的渐近线方程为
A、y=
B、y=
C、y=
D、y=
查看答案和解析>>
湖北省互联网违法和不良信息举报平台 | 网上有害信息举报专区 | 电信诈骗举报专区 | 涉历史虚无主义有害信息举报专区 | 涉企侵权举报专区
违法和不良信息举报电话:027-86699610 举报邮箱:58377363@163.com