精英家教网 > 高中数学 > 题目详情

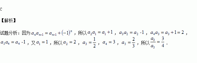
在数列{an}中,a1=1,anan-1=an-1+(-1)n(n≥2,n∈N*),则的值是( )

A. B. C. D.

练习册系列答案
相关习题

科目:高中数学 来源:2015-2016学年湖南省衡阳市高二上期中理科数学试卷(解析版) 题型:选择题

下列双曲线中,以直线为渐近线的是( )

A、 B、 C、 D、

查看答案和解析>>

科目:高中数学 来源:2015-2016学年山东省新泰市高二上学期期中考试理科数学试卷(解析版) 题型:填空题

__________.

查看答案和解析>>

科目:高中数学 来源:2015-2016学年湖北省等四校高二上学期期中理科数学试卷(解析版) 题型:填空题

若直线互相平行,则的值是_________.

查看答案和解析>>

科目:高中数学 来源:2015-2016年湖南省高一上学期期中考试数学试卷(解析版) 题型:选择题

已知,若,则( )

A. B. C. D.

查看答案和解析>>

科目:高中数学 来源:2015-2016学年浙江省嘉兴市高二上12月月考数学卷(解析版) 题型:选择题

如图,有一个水平放置的透明无盖的正方体容器,容器高8cm,将一个球放在容器口,再向容器内注水,当球面恰好接触水面时测得水深为6c,如果不计容器的厚,则球的体积为( )

A. B. C. D.

查看答案和解析>>

科目:高中数学 来源:2016届山东师大附中高三上学期第三次模拟文科数学试卷(解析版) 题型:选择题

,则下列命题中成立的是( )

A. B. C. D.

查看答案和解析>>

科目:高中数学 来源:2016届重庆市高三12月月考文科数学试卷(解析版) 题型:解答题

设函数

(1)当时,求不等式的解集;

(2)对任意恒有,求实数的取值范围.

查看答案和解析>>

科目:高中数学 来源:2015-2016年湖南省株洲市高二上第二次月考理数学卷(解析版) 题型:解答题

如图所示,在四棱锥P?ABCD中,PA⊥平面ABCD,AC⊥AD,AB⊥BC,∠BAC=45°,PA=AD=2,AC=1.

(1)证明:PC⊥AD;

(2)求二面角A-PC-D的正弦值.

查看答案和解析>>

同步练习册答案