精英家教网 > 高中数学 > 题目详情
已知函数.  
(1)若函数的图象在处的切线斜率为1,求实数a的值;  
(2)在(1)的条件下,求函数的单调区间;  
(3)若函数上是减函数,求实数a的取值范围.
解:(1)  
由已知,解得
(2)函数的定义域为..        
当x变化时,的变化情况如下:

由上表可知,函数的单调递减区间是;单调递增区间是.
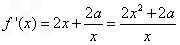
(3)由
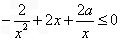
由已知函数上的单调减函数,则上恒成立,
上恒成立.    
上恒成立.
,在
为减函数.
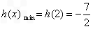
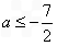
,所以.
练习册系列答案
相关习题

科目:高中数学 来源: 题型:

(本小题满分12分)已知函数

(1)若,试确定函数的单调区间;(2)若,且对于任意恒成立,试确定实数的取值范围;(3)设函数,求证:

查看答案和解析>>

科目:高中数学 来源:2014届宁夏高二上学期期末考试文科数学试卷(解析版) 题型:解答题

(本题满分12分)已知函数

(1)若,求的单调区间;

(2)当时,求证:

 

查看答案和解析>>

科目:高中数学 来源:2012-2013学年湖南省岳阳市高三第一次质量检测理科数学试卷(解析版) 题型:解答题

(本小题满分13分)已知函数

(1)若的极值点,求实数的值;

(2)若上为增函数,求实数的取值范围;

(3)当时,方程有实根,求实数的最大值.

 

查看答案和解析>>

科目:高中数学 来源:2011-2012学年湖北省华中师大一附中高三上学期期中检测文科数学试卷(解析版) 题型:解答题

已知函数

(1)若,求函数的值;

(2)求函数的值域。

 

查看答案和解析>>

科目:高中数学 来源:吉林省10-11学年高二下学期期末考试数学(理) 题型:解答题

已知函数

(1)若从集合中任取一个元素,从集合中任取一个元素,求方程有两个不相等实根的概率;

(2)若是从区间中任取的一个数,是从区间中任取的一个数,求方程没有实根的概率.

 

查看答案和解析>>

同步练习册答案