精英家教网 > 高中数学 > 题目详情

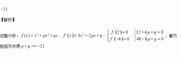
是函数的两个极值点,则_____ ___.

练习册系列答案
相关习题

科目:高中数学 来源:2015-2016学年山东省高一下期中数学试卷(解析版) 题型:解答题

已知向量互相垂直,其中.

(1)求的值;

(2)若,求的值.

查看答案和解析>>

科目:高中数学 来源:2015-2016学年山西省高二3月月考理科数学试卷(解析版) 题型:选择题

已知直线与曲线相切,则的值为( )

A. B. C. D.

查看答案和解析>>

科目:高中数学 来源:2015-2016学年山西大学附中高一下学期3月模块诊断数学试卷(解析版) 题型:选择题

,则的值为( )

A. B. C. D.

查看答案和解析>>

科目:高中数学 来源:2015-2016学年四川省雅安市高二下期中理科数学试卷(解析版) 题型:解答题

已知函数

(1)当时,求曲线在点处的切线方程;

(2)当时,求函数的单调区间.

查看答案和解析>>

科目:高中数学 来源:2015-2016学年四川省雅安市高二下期中理科数学试卷(解析版) 题型:选择题

已知函数的图象如右图所示(其中是函数的导函数),下面四个图象中的图象大致是 ( )

查看答案和解析>>

科目:高中数学 来源:2015-2016学年四川省雅安市高二下期中理科数学试卷(解析版) 题型:选择题

在复平面内,复数对应的点位于( )

(A)第一象限 (B)第二象限 (C)第三象限 (D)第四象限

查看答案和解析>>

科目:高中数学 来源:2015-2016学年内蒙古高二下第一次月考文科数学卷(解析版) 题型:选择题

已知动圆M与直线y =2相切,且与定圆C:外切,求动圆圆心M的轨迹方程( )

A. B. C. D.

查看答案和解析>>

科目:高中数学 来源:2015-2016学年江西省高二3月月考文科数学试卷(解析版) 题型:选择题

定义在上的函数的导函数为,已知是偶函数,,若,则的大小关系( )

(A) (B) (C) (D)不确定

查看答案和解析>>

同步练习册答案