精英家教网 > 高中数学 > 题目详情

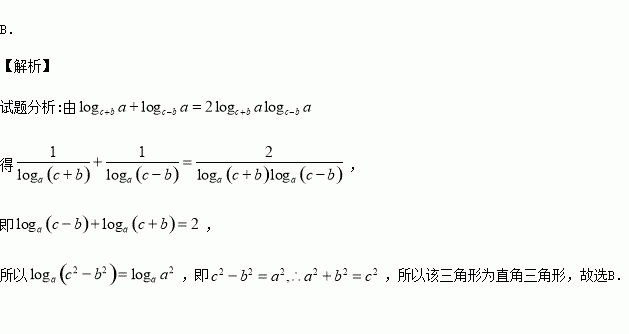
为三角形三边,,则三角形的形状为( )

A.锐角三角形 B.直角三角形 C.钝角三角形 D.无法确定

练习册系列答案
相关习题

科目:高中数学 来源:2015-2016学年江西省吉安市高二上期中文科数学试卷(解析版) 题型:填空题

如图,椭圆,圆,椭圆C的左、右焦点分别为,过椭圆上一点P和原点O作直线交圆O于M,N两点,若,则的值为

查看答案和解析>>

科目:高中数学 来源:2016届北京市朝阳区高三上学期期中统一考试理科数学试卷(解析版) 题型:解答题

已知实数数列满足:,记集合

(Ⅰ)若,用列举法写出集合

(Ⅱ)若,判断数列是否为周期数列,并说明理由;

(Ⅲ)若,且,求集合的元素个数的最小值.

查看答案和解析>>

科目:高中数学 来源:2016届浙江省绍兴市高三上学期期中文科数学试卷(解析版) 题型:填空题

分别为双曲线的左、右焦点,若在右支上存在点,使得点到直线的距离为,则该双曲线的离心率的取值范围是

查看答案和解析>>

科目:高中数学 来源:2016届浙江省绍兴市高三上学期期中理科数学试卷(解析版) 题型:选择题

设点,如果直线与线段有一个公共点,那么 ( )

A.最小值为 B.最小值为

C.最大值为 D.最大值为

查看答案和解析>>

科目:高中数学 来源:2016届山西省高三10月月考理科数学试卷(解析版) 题型:选择题

已知正四棱锥中,,那么当该棱锥的体积最大时,它的高为( )

A. B. C. D.

查看答案和解析>>

科目:高中数学 来源:2016届辽宁省沈阳市高三上学期期中文科数学试卷(解析版) 题型:选择题

,则的大小关系是( )

A. B. C. D.

查看答案和解析>>

科目:高中数学 来源:2015-2016学年山西省高二上期中文科数学试卷(解析版) 题型:解答题

在三棱柱ABC-A1B1C1中,侧棱AA1⊥底面ABC, 是等边三角形.

(1)在棱AC上是否存在一点M,使直线AB1//平面BMC1,请证明你的结论.

(2)设D为AC的中点,P为AB1上的动点, 且AB=2,AA1=.求三棱锥P-BC1D的体积.

查看答案和解析>>

科目:高中数学 来源:2015-2016学年湖北孝感高中高二上学期期中文科数学试卷(解析版) 题型:选择题

下列反映两个变量的相关关系中,不同于其它三个的是

A.名师出高徒 B.水涨船高 C.月明星稀 D.登高望远

查看答案和解析>>

同步练习册答案