精英家教网 > 高中数学 > 题目详情
已知椭圆C的中心在原点,焦点在x轴上,一条经过点(3,-)且方向向量为a=(-2,)的直线L交椭圆C于A、B两点,交x轴于M点,又
(1)求直线L的方程;
(2)求椭圆C长轴长取值的范围.
解:(1)直线L过点(3,-)且方向向量a=(-2,),
∴L的方程为:,即
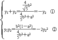
(2)设直线和椭圆交于两点A(x1,y1),B(x2,y2)和x轴交点M(1,0),
,知y1=-2y2
代入b2x2+a2y2=a2b2中得
由韦达定理
∵有两交点,
∴Δ=
化简得:5a2+4b2>5, ③
由①②消去y2得:32b2=(4b2+5a2)(a2-1),
即4b2=,④
将④代入③得:5a2+>5, ⑤
可求得1<a2<9,
又椭圆的焦点在x轴上,则a2>b2
∴4b2=<4a2
综合解得:1<a2,可求得:1<a<
∴所求椭圆长轴长2a的范围是
练习册系列答案
相关习题

科目:高中数学 来源:山东省济宁市2012届高二下学期期末考试理科数学 题型:解答题

(本小题满分14分) 已知在平面直角坐标系xoy中的一个椭圆,它的中心在原

点,左焦

(1)求该椭圆的标准方程;

(2)若P是椭圆上的动点,求线段PA中点M的轨迹方程;

(3)过原点O的直线交椭圆于点B、C,求△ABC面积的最大值。

 

查看答案和解析>>

科目:高中数学 来源:2012届山东省高二下学期期末考试理科数学 题型:解答题

(本小题满分14分) 已知在平面直角坐标系xoy中的一个椭圆,它的中心在原

(1)求该椭圆的标准方程;

(2)若P是椭圆上的动点,求线段PA中点M的轨迹方程;

(3)过原点O的直线交椭圆于点B、C,求△ABC面积的最大值。

 

查看答案和解析>>

同步练习册答案