精英家教网 > 高中数学 > 题目详情

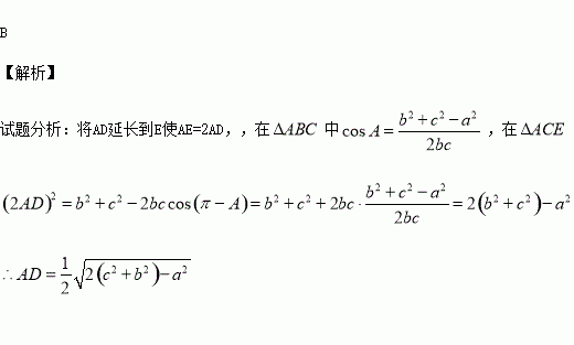
△ABC的三边长分别为,点边上的中点,下列说法正确的是( )

A、

B、

C、

D、

练习册系列答案
相关习题

科目:高中数学 来源:2015-2016学年河北省高二上学期第二次月考文数学试卷(解析版) 题型:选择题

执行如图所示的程序框图,若输入,则输出的( )

A. B. C. D.

查看答案和解析>>

科目:高中数学 来源:2015-2016学年福建省四地六校高一上学期10月第一次联考数学试卷(解析版) 题型:选择题

若集合等于 ( )

A. B.

C. D.

查看答案和解析>>

科目:高中数学 来源:2015-2016学年甘肃天水秦安二中高二上学期第一次月考文科数学试卷(解析版) 题型:填空题

某程序的框图如图所示,执行该程序,若输入的p为16,则输出的n的值为__________.

查看答案和解析>>

科目:高中数学 来源:2015-2016学年河北省高二10月月考数学试卷(解析版) 题型:选择题

已知函数,则不等式的解集是( )

A.[-1,1] B.[-2,2] C.[-2,1] D.[-1,2]

查看答案和解析>>

科目:高中数学 来源:2015-2016学年广东省高二9月阶段测试文科数学试卷(解析版) 题型:填空题

中,已知,则______.

查看答案和解析>>

科目:高中数学 来源:2015-2016学年黑龙江省高一上学期第一阶段考数学试卷(解析版) 题型:选择题

,则等价于( )

A.

B.

C.

D.

查看答案和解析>>

科目:高中数学 来源:2015-2016学年陕西省西安市高二10月月考文科数学试卷(解析版) 题型:解答题

.三角形ABC中,内角A、B、C的对边分别为a、b、c,若a、b是方程x2-2x+2=0的两根,且2cos(A+B)=1.

(1)求角C的度数;

(2)求c;

(3)求△ABC的面积.

查看答案和解析>>

科目:高中数学 来源:2015-2016学年湖北省高二上学期第一次月考理科数学试卷(解析版) 题型:选择题

关于直线对称的圆的方程为( )

A.

B.

C.

D.

查看答案和解析>>

同步练习册答案