精英家教网 > 高中数学 > 题目详情
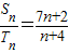
两个等差数列an和bn的前n项的和分别为Sn和Tn,若,则的值为( )
A.
B.
C.
D.
【答案】分析:根据等差数列的奇数项的前n项和可以写成最中间一项的n倍,所以把要求的两个数列的第五项之比写成两个数列的前9项之和的比值,代入数值进行运算.
解答:解:∵等差数列{an}{bn}的前n项和分别为Sn,Tn

==
故选A.
点评:本题考查等差数列的性质,是一个基础题,这种题目的运算量比较小,只要能够看清两个第五项之比是前多少项和之比就可以得到结果.
练习册系列答案
相关习题

科目:高中数学 来源: 题型:

若两个等差数列{an}和{bn}的前n项和分别是Sn,Tn,已知=,则等于(    )

A.7            B.        C.         D.

查看答案和解析>>

科目:高中数学 来源: 题型:

8.已知两个等差数列{an}和{bn}的前n项和分别为An和Bn,且,则使得为整数的正整数n的个数是

A.2                B.3                    C.4                   D.5

查看答案和解析>>

科目:高中数学 来源:2012-2013学年广东省江门市开平市开侨中学高二(上)期中数学试卷(理科)(解析版) 题型:选择题

两个等差数列{an}和{bn},其前n项和分别为Sn,Tn,且,则等于( )
A.
B.
C.
D.

查看答案和解析>>

科目:高中数学 来源:2007-2008学年广东省湛江二十中高二(下)期中数学试卷(必修5)(解析版) 题型:选择题

两个等差数列{an}和{bn},其前n项和分别为Sn,Tn,且,则等于( )
A.
B.
C.
D.

查看答案和解析>>

科目:高中数学 来源:2012-2013学年广东省揭阳一中南区学校高二(上)期中数学试卷(理科)(解析版) 题型:选择题

两个等差数列{an}和{bn},其前n项和分别为Sn,Tn,且,则等于( )
A.
B.
C.
D.

查看答案和解析>>

同步练习册答案