精英家教网 > 高中数学 > 题目详情

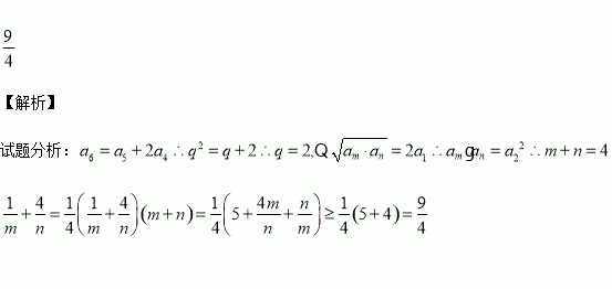
已知正项等比数列 满足:,若存在两项 使得,则 的最小值为

练习册系列答案
相关习题

科目:高中数学 来源:2015-2016学年山东省高二上学情调查理科数学卷(解析版) 题型:选择题

双曲线上的一点P到它一个焦点的距离为4,则点P到另一焦点的距离是( )

A.2 B.10 C.10或2 D.14

查看答案和解析>>

科目:高中数学 来源:2016届浙江省临海市高三上第三次统练文科数学试卷(解析版) 题型:填空题

设函数,则该函数的最小正周期为 的最小值为

查看答案和解析>>

科目:高中数学 来源:2015-2016学年河北省邯郸市等校高二上学期期中文科数学试卷(解析版) 题型:选择题

若向量a=(x-1,2),b=(4,y)相互垂直,则9x+3y的最小值为( )

A.4 B.6 C.9 D.12

查看答案和解析>>

科目:高中数学 来源:2015-2016学年山东省高二上学期期中考试文科数学试卷(解析版) 题型:解答题

设锐角三角形 的内角 的对边分别为

(1)求 的大小;

(2)若,求

查看答案和解析>>

科目:高中数学 来源:2015-2016学年湖北省等高二上学期期中联考文科数学试卷(解析版) 题型:选择题

直线与曲线有且仅有1个公共点,则b的取值范围是( )

A.

B.

C.

D.

查看答案和解析>>

科目:高中数学 来源:2015-2016学年江苏省沭阳县高一上学期期中考试数学试卷(解析版) 题型:解答题

已知;

(1)若,求实数的取值范围;

(2)若,求实数的取值范围.

查看答案和解析>>

科目:高中数学 来源:2015-2016学年湖南株洲二中高二上第三次月考理数学卷(解析版) 题型:选择题

( )

A.1 B.e﹣1 C.e D.e+1

查看答案和解析>>

科目:高中数学 来源:2016届河北省高三上第五次月考理科数学试卷(解析版) 题型:选择题

直线与圆有两个不同交点的一个充分不必要条件是( )

A. B. C. D.

查看答案和解析>>

同步练习册答案