精英家教网 > 高中数学 > 题目详情

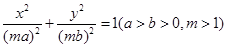
如图,内外两个椭圆的离心率相同,从外层椭圆顶点向内层椭圆引切线AC,BD,设内层椭圆方程为 ,若直线AC与BD的斜率之积为 ,则椭圆的离心率为(   )

A.  B.  C.    D.  

 

【答案】

C

【解析】

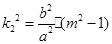
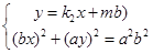
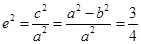
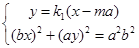
试题分析:设外层椭圆方程为 ,则切线AC的方程为y=k1(x-ma),切线BD的方程为y=k2x+mb,则由 消去y得 ,因为∆=(2-4×)=0,整理得.

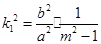
消去y得++,因为∆=(-4×,整理得.

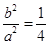
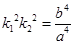
所以,因为,所以 ,所以e=,故选C.

考点:椭圆的简单性质和直线与椭圆的位置关系.

 

练习册系列答案
相关习题

科目:高中数学 来源:2013-2014学年河北省高三下学期二调考试理科数学试卷(解析版) 题型:选择题

如图,内外两个椭圆的离心率相同,从外层椭圆顶点向内层椭圆引切线ACBD,设内层椭圆方程为 ,若直线ACBD的斜率之积为,则椭圆的离心率为( )

A. B. C. D.

 

查看答案和解析>>

同步练习册答案