精英家教网 > 高中数学 > 题目详情

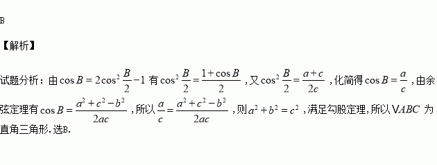
在△ABC中,,(a,b,c分别为角A,B,C的对边),则△ABC的形状为( )

(A)正三角形 (B)直角三角形

(C)等腰三角形或直角三角形 (D)等腰直角三角形

练习册系列答案
相关习题

科目:高中数学 来源:2016届贵州省高三第十次月考文科数学试卷(解析版) 题型:选择题

中,是边上的点(包括端点),则的取值范围是( )

A. B. C. D.

查看答案和解析>>

科目:高中数学 来源:2016届安徽师大附中高三最后一卷文科数学试卷(解析版) 题型:填空题

已知是定义在上的偶函数,且对于任意的,满足,若当,,则函数 在区间上的零点个数为

查看答案和解析>>

科目:高中数学 来源:2015-2016学年吉林省高一下期中数学试卷(解析版) 题型:解答题

在数列中,

(Ⅰ)求数列的通项公式;

(Ⅱ)设,求数列的前项和

查看答案和解析>>

科目:高中数学 来源:2015-2016学年吉林省高一下期中数学试卷(解析版) 题型:填空题

与直线平行的直线方程为

查看答案和解析>>

科目:高中数学 来源:2015-2016学年吉林省高一下期中数学试卷(解析版) 题型:选择题

过点,且在轴上的截距是在轴上截距的2倍的直线方程是( )

(A) (B)

(C) (D)

查看答案和解析>>

科目:高中数学 来源:2016届江西省高三第三次模拟文科数学试卷(解析版) 题型:解答题

已知函数.

(1)当时,求函数上的单调区间;

(2)若函数存在两个极值点,求的取值范围.

查看答案和解析>>

科目:高中数学 来源:2016届江西省高三第三次模拟文科数学试卷(解析版) 题型:选择题

执行如图所示的程序框图,输出的结果是( )

A.15 B.21 C.24 D.35

查看答案和解析>>

科目:高中数学 来源:2016年山西省高考冲刺压轴卷三理科数学试卷(解析版) 题型:选择题

在正方体中,中点,点在线段上,直线与平面所成的角为,则的取值范围是( )

A. B. C. D.

查看答案和解析>>

同步练习册答案