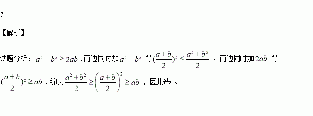
若
,下列不等式中正确的是( )
A.
B.
C.
D.
练习册系列答案
相关习题
科目:高中数学
来源:2015-2016学年江苏省泰州市姜堰区高二上学期期中考试文科数学试卷(解析版)
题型:填空题
若抛物线
上一点M到焦点的距离为3,则点M到y轴的距离为 .
查看答案和解析>>
科目:高中数学
来源:2015-2016学年广东省高一上第一次月考数学试卷(解析版)
题型:选择题
查看答案和解析>>
科目:高中数学
来源:2015-2016学年广东省高二上学期期中考试理科数学试卷(解析版)
题型:选择题
查看答案和解析>>
科目:高中数学
来源:2015-2016学年安徽省高一上学期第一次月考数学试卷(解析版)
题型:选择题
查看答案和解析>>
科目:高中数学
来源:2015-2016学年安徽省阜阳市高二上第一次调研考理科数学试卷(解析版)
题型:选择题
设a,b∈R,则“a>b”是“a|a|>b|b|”的( )
A.充分不必要条件 B.必要不充分条件
C.充要条件 D.既不充分又不必要条件
查看答案和解析>>
科目:高中数学
来源:2016届云南省高三上学期第一次月考理科数学试卷(解析版)
题型:选择题
二项展开式中的常数项为 ( )
A.56 B.112 C.-56 D.-112
查看答案和解析>>
科目:高中数学
来源:2016届黑龙江哈尔滨六中高三上期中文科数学试卷(解析版)
题型:选择题
查看答案和解析>>
科目:高中数学
来源:2015-2016学年江苏省高一上期中考试数学试卷(解析版)
题型:填空题
查看答案和解析>>