精英家教网 > 高中数学 > 题目详情

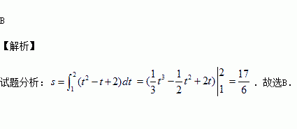
一质点运动时速度与时间的关系为v(t)=t2-t+2,质点做直线运动,则此物体在时间[1,2]内的位移为( )

A. B. C. D.

练习册系列答案
相关习题

科目:高中数学 来源:2014-2015学年广东省高二6月月考理科数学试卷(解析版) 题型:选择题

已知双曲线的渐近线与实轴的夹角为,则双曲线的离心率为( )

A. B. C. D.2

查看答案和解析>>

科目:高中数学 来源:2016届浙江省高三期中理科数学试卷(解析版) 题型:填空题

已知等差数列是数列的前项和,且满足,则数列的首项_______,通项_____.

查看答案和解析>>

科目:高中数学 来源:2016届江苏省高三周练数学试卷(解析版) 题型:填空题

在平行四边形中,的中点.若,则的长为

查看答案和解析>>

科目:高中数学 来源:2016届吉林省高三上学期二模文科数学试卷(解析版) 题型:选择题

设复数z=a+bi(a,b∈R),若=2-i成立,则点P(a,b)在( )

A.第一象限 B.第二象限 C.第三象限 D.第四象限

查看答案和解析>>

科目:高中数学 来源:2016届黑龙江省高三上学期期中理科数学试卷(解析版) 题型:选择题

一个正方体被一个平面截去一部分后,剩余部分的三视图如图,则截去部分体积与剩余部分体积的比值为( )

A. B. C. D.

查看答案和解析>>

科目:高中数学 来源:2016届甘肃省高三上学期期中文科数学试卷(解析版) 题型:选择题

为了得到函数y=cos的图象,可将函数y=sin 2x的图象( )

A.向左平移个单位长度 B.向右平移个单位长度

C.向左平移个单位长度 D.向右平移个单位长度

查看答案和解析>>

科目:高中数学 来源:2015-2016学年山东省高一10月月考数学试卷(解析版) 题型:选择题

下列各组函数中,表示同一函数的是( )

A.

B.

C.

D.

查看答案和解析>>

科目:高中数学 来源:2015-2016学年四川省德阳市高二10月月考数学试卷(解析版) 题型:选择题

下列函数中,最小正周期为的奇函数是( )

A. B.

C. D.

查看答案和解析>>

同步练习册答案