精英家教网 > 高中数学 > 题目详情
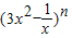
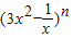
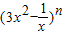
若二项式的展开式中各项系数的和是512,则展开式中的常数项为( )
A.-27C93
B.27C93
C.-9C94
D.9C94
【答案】分析:中,令x=1可得,其展开式各项系数的和,又由题意,可得2n=512,解可得n=9,进而可得其展开式的通项,在其中令x的指数为0,可得r的值为6,即可得其展开式中的常数项,即可得答案.
解答:解:在中,令x=1可得,其展开式各项系数的和是2n
又由题意,可得2n=512,解可得n=9,
则二项式的展开式的通项为Tr+1=C9r(3x29-r(-r=(-1)r•C9r•39-rx18-3r
令18-3r=0可得,r=6,
则其展开式中的常数项为第7项,即T7=(-1)6•C96•33=27C93
故选B.
点评:本题考查二项式定理的应用,解题时需要区分展开式中各项系数的和与各二项式系数和.
练习册系列答案
相关习题

科目:高中数学 来源:2011年福建省高二上学期期末考试数学理卷 题型:选择题

为落实素质教育,某中学拟从4个重点研究性课题和6个一般研究性课题中各选2个课题作为本年度该校启动的课题项目,若重点研究性课题A和一般研究性课题中至少有一个被选中的不同选法种数是,那么二项式的展开式中的系数为

   A.50000           B.54000             C.56000              D.59000

 

查看答案和解析>>

科目:高中数学 来源: 题型:

若[()log5x-1+1]n的展开式中各奇数项二项式系数之和为32,中间项为2 500,求x.

查看答案和解析>>

科目:高中数学 来源: 题型:

为落实素质教育,某中学拟从4个重点研究性课题和6个一般研究性课题中各选2个课题作为本年度该校启动的课题项目,若重点研究性课题A和一般研究性课题中至少有一个被选中的不同选法种数是,那么二项式的展开式中的系数为

   A.50000       B.54000       C.56000        D.59000

查看答案和解析>>

科目:高中数学 来源: 题型:

为落实素质教育,某中学拟从4个重点研究性课题和6个一般研究性课题中各选2个课题作为本年度该校启动的课题项目,若重点研究性课题A和一般研究性课题中至少有一个被选中的不同选法种数是,那么二项式的展开式中的系数为

   A.50000       B.54000       C.56000        D.59000

查看答案和解析>>

科目:高中数学 来源:安徽省08-09学年高二下学期六校联考(理) 题型:选择题

 为落实素质教育,某中学拟从4个重点研究性课题和6个一般研究性课题中各选2个课题作为本年度该校启动的课题项目,若重点研究性课题A和一般研究性课题中至少有一个被选中的不同选法种数是,那么二项式的展开式中的系数为

   A.50000       B.54000       C.56000        D.59000

 

查看答案和解析>>

同步练习册答案