精英家教网 > 高中数学 > 题目详情

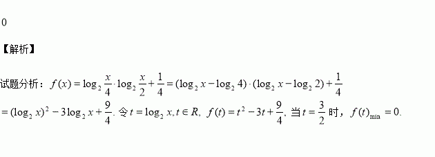
函数的最小值是________.

练习册系列答案
相关习题

科目:高中数学 来源:2015-2016学年河南新乡一中高二重点下七次周练文数学卷(解析版) 题型:选择题

已知数列{an}其通项公式为an=3n2﹣22n﹣1,则此数列中最小项为第( )项.

A.2 B.3 C.4 D.5

查看答案和解析>>

科目:高中数学 来源:2015-2016学年河南新乡一中高二普通下七次周练理数学卷(解析版) 题型:填空题

设曲线的参数方程为是参数,),直线的极坐标方程为,若曲线与直线只有一个公共点,则实数的值是

查看答案和解析>>

科目:高中数学 来源:2015-2016学年河南新乡一中高二普通下七次周练理数学卷(解析版) 题型:选择题

表示的图形是( )

A.一条射线 B.一条直线 C.一条线段 D.圆

查看答案和解析>>

科目:高中数学 来源:2015-2016学年河北省高一下期中数学试卷(解析版) 题型:解答题

已知:全集,函数的定义域为集合,集合

(1)求

(2)若,求实数的范围.

查看答案和解析>>

科目:高中数学 来源:2015-2016学年河北省高一下期中数学试卷(解析版) 题型:选择题

函数为减函数,则a的范围( )

A. B.(- ,-4) C. D.

查看答案和解析>>

科目:高中数学 来源:2015-2016学年河北省高一下期中数学试卷(解析版) 题型:选择题

记全集,则图中阴影部分所表示的集合是( )

A. B. C. D.

查看答案和解析>>

科目:高中数学 来源:2015-2016学年贵州思南中学高二下期中理科数学试卷(解析版) 题型:选择题

函数的单调增区间是( )

A、 B、 C、 D、

查看答案和解析>>

科目:高中数学 来源:2015-2016学年宁夏石嘴山三中高二下期中文科数学试卷(解析版) 题型:选择题

下列函数中既是奇函数,又是定义域内的减函数的是( )

A.f(x)=xlg 2 B. f(x)=sinx C. f(x)=-x|x| D.f(x)=

查看答案和解析>>

同步练习册答案