精英家教网 > 高中数学 > 题目详情

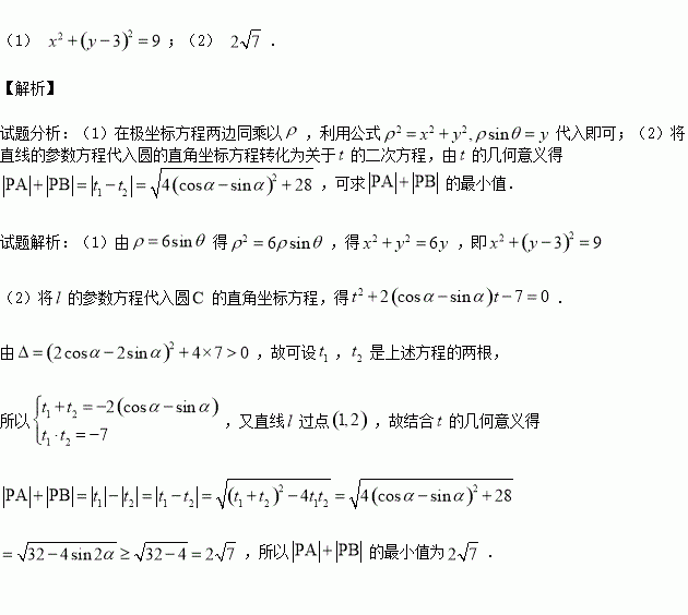
在直角坐标系中,直线的参数方程为为参数),在极坐标系(与直角坐标系取相同的长度单位,且以原点为极点,以轴非负半轴为极轴)中,圆的方程为

(1)求圆的直角坐标方程;

(2)若点,设圆与直线交于点.求的最小值.

练习册系列答案
相关习题

科目:高中数学 来源:2015-2016学年湖北航天高中等校高二上学期期中联考数学试卷(解析版) 题型:选择题

将某选手的7个得分去掉1个最高分,去掉1个最低分,剩余5个得分的平均分为91,现场

做的7个得分的茎叶图(如图)后来有一个数据模糊,无法辨认,在图中用表示,则x的值

A.0 B.4 C.5 D.7

查看答案和解析>>

科目:高中数学 来源:2016届云南师大附中高考适应性月考四文科数学试卷(解析版) 题型:选择题

已知,其中,且,则向量的夹角是( )

A. B. C. D.

查看答案和解析>>

科目:高中数学 来源:2016届河北省高三上第五次月考理科数学试卷(解析版) 题型:选择题

下列四个函数中,既是定义域上的奇函数又在区间内单调递增的是( )

A. B. C. D.

查看答案和解析>>

科目:高中数学 来源:2016届河北省邯郸市高三一轮收官考试一文科数学试卷(解析版) 题型:解答题

如图,在长方体中,,点是线段中点.

(1)求证:

(2)求点到平面的距离.

查看答案和解析>>

科目:高中数学 来源:2016届河北省邯郸市高三一轮收官考试一理科数学试卷(解析版) 题型:选择题

的展开式中含有常数项,则的最小值等于( )

A. B. C. D.

查看答案和解析>>

科目:高中数学 来源:2016届甘肃省高三上第四次月考文科数学试卷(解析版) 题型:选择题

若非零向量满足,且,则的夹角为 ( )

A. B. C. D.

查看答案和解析>>

科目:高中数学 来源:2016届福建省高三上学期期中理科数学试卷(解析版) 题型:选择题

如果在地平面同一直线上,,从两地测得点的仰角分别为,则点离地面的高等于( )

A、 B、 C、 D、

查看答案和解析>>

科目:高中数学 来源:2015-2016学年江西省高一重点上期中数学卷(解析版) 题型:填空题

下列说法正确的是________(只填正确说法序号)

①若集合,则

是函数解析式;

是非奇非偶函数;

④设二次函数,若

查看答案和解析>>

同步练习册答案