精英家教网 > 高中数学 > 题目详情
已知椭圆两焦点分别为F1、F2,P是椭圆在第一象限弧上一点,并满足,过P作倾斜角互补的两条直线PA、PB分别交椭圆于A、B两点.
(1)求P点坐标;
(2)求证:直线AB的斜率为定值;
(3)求△PAB面积的最大值.

【答案】分析:(1)根据,用坐标表示,结合点P(x,y)在曲线椭圆上,即可求得点P的坐标;
(2)设出BP的直线方程与椭圆方程联立,从而可求A、B的坐标,进而可得AB的斜率为定值;
(3)设AB的直线方程:,与椭圆方程联立,得,从而可确定,求出P到AB的距离,进而可表示△PAB面积,利用基本不等式可求△PAB面积的最大值.
解答:(1)解:由题可得
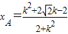
设P(x,y)(x>0,y>0)
(2分)

∵点P(x,y)在曲线上,则
,从而,得
则点P的坐标为.      (5分)
(2)证明:由题意知,两直线PA、PB的斜率必存在,设PB的斜率为k(k>0),(6分)
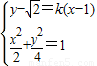
则BP的直线方程为:

设B(xB,yB),则
同理可得,则.(9分)
所以AB的斜率为定值. (10分)
(3)解:设AB的直线方程:
,得
,得
P到AB的距离为,(12分)
=
当且仅当取等号
∴△PAB面积的最大值为.(14分)
点评:本题以椭圆的标准方程及向量为载体,考查直线与椭圆的位置关系,考查三角形的面积计算及利用基本不等式求最值,解题的关键是直线与椭圆方程联立,利用韦达定理进行解题.
练习册系列答案
相关习题

科目:高中数学 来源: 题型:

(08年山西大学附中五模理) 已知椭圆两焦点分别为是椭圆在第一象限弧上一点,并满

,过作倾斜角互补的两条直线分别交椭圆于两点.

(Ⅰ)求点坐标;                     (Ⅱ)求证直线的斜率为定值;

(Ⅲ)求面积的最大值.

查看答案和解析>>

科目:高中数学 来源: 题型:

(08年西工大附中一模文)(14分)已知椭圆两焦点分别为F1、F2,P是椭圆在第一象限弧上一点,并满足=1,过P作倾斜角互补的两条直线PA、PB分别交椭圆于A、B两点。 

(1)求P点坐标;   (2)求直线AB的斜率;

 

 

查看答案和解析>>

科目:高中数学 来源: 题型:

(08年西工大附中一模理) (14分) 已知椭圆两焦点分别为F1、F2,P是椭圆在第一象限弧上一点,并满足=1,过P作倾斜角互补的两条直线PA、PB分别交椭圆于A、B两点. 

(1)求P点坐标;  

(2)求直线AB的斜率;

(3)求△PAB面积的最大值.

 

 

查看答案和解析>>

科目:高中数学 来源: 题型:

已知椭圆两焦点分别为F1F2P是椭圆在第一象限弧上一点,并满足,过P作倾斜角互补的两条直线PAPB分别交椭圆于AB两点.   

(1)求P点坐标;                               

(2)求证直线AB的斜率为定值;   

(3)求△PAB面积的最大值。

                                                        

查看答案和解析>>

科目:高中数学 来源:2011-2012学年浙江省高三上学期10月月考数学试卷 题型:解答题

已知椭圆两焦点分别为F1、F2、P是椭圆在第一象限弧上一点,并满足,过P作倾斜角互补的两条直线PA、PB分别交椭圆于A、B两点

   (1)求P点坐标;

   (2)求证直线AB的斜率为定值;

   (3)求△PAB面积的最大值。

 

 

 

查看答案和解析>>

同步练习册答案