精英家教网 > 高中数学 > 题目详情

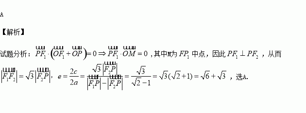
已知分别是双曲线的左、右焦点, 点在双曲线右支上, 且为坐标原点), 若,则该双曲线的离心率为( )

A. B. C. D.

练习册系列答案
相关习题

科目:高中数学 来源:2015-2016福建师大附中高一下期中考数学(实验班)试卷(解析版) 题型:填空题

在30瓶饮料中,有3瓶已过了保质期.从这30瓶饮料中任取2瓶,已知所取的2瓶全在保质

期内的概率为,则至少取到1瓶已过保质期的概率为 .

查看答案和解析>>

科目:高中数学 来源:2016届湖北七市教研协作体高三4月联考试数学(理)试卷(解析版) 题型:解答题

已知椭圆(常数)的离心率为是椭圆上的两个不同动点,为坐标原点.

(1)求椭圆的方程;

(2)已知,满足表示直线的斜率),求取值的范围.

查看答案和解析>>

科目:高中数学 来源:2016届湖北七市教研协作体高三4月联考试数学(理)试卷(解析版) 题型:选择题

若函数定义域为,则“函数是奇函数”是“”的( )

A.必要不充分条件 B.充分不必要条件 C.充要条件 D.既不充分也不必要

查看答案和解析>>

科目:高中数学 来源:2016届湖南省高考冲刺卷(文)(三)数学卷(解析版) 题型:填空题

如图, 在中,, 点在线段上, 且,则

查看答案和解析>>

科目:高中数学 来源:2016届湖南省高考冲刺卷(文)(三)数学卷(解析版) 题型:选择题

若实数满足不等式组,且的最小值等于,则实数的值等于( )

A. B. C. D.

查看答案和解析>>

科目:高中数学 来源:2016届湖南省四大名校高三3月联考数学(文)试卷(解析版) 题型:解答题

选修4-4:坐标系与参数方程

已知曲线的极坐标方程为,曲线的参数方程为为参数).

(1)判断的位置关系;

(2)设上的动点,上的动点,求的最小值.

查看答案和解析>>

科目:高中数学 来源:2016届湖南省四大名校高三3月联考数学(文)试卷(解析版) 题型:选择题

下列命题是假命题的是( )

A.,函数都不是偶函数

B.,使

C.向量,则方向上的投影为

D.“”是“”的既不充分又不必要条件

查看答案和解析>>

科目:高中数学 来源:2016届黑龙江哈尔滨一中高三第二次模拟考试数学(理)卷(解析版) 题型:填空题

,则的值是______.

查看答案和解析>>

同步练习册答案