精英家教网 > 高中数学 > 题目详情

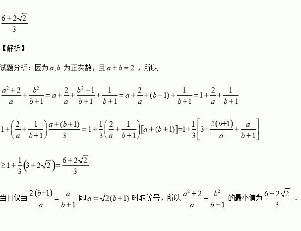
已知为正实数,且,则的最小值为

练习册系列答案
相关习题

科目:高中数学 来源:2016届河北省高三上第二次月考文科数学B卷(解析版) 题型:解答题

(本小题满分12分)若关于x的方程有两个相等的实数根.

(1)求实数a的取值范围.

(2)当a=时,求的值.

查看答案和解析>>

科目:高中数学 来源:2015-2016学年宁夏育才中学高二上期中考试文科数学试卷(解析版) 题型:选择题

下列不等式成立的是 ( )

A. B. C. D.

查看答案和解析>>

科目:高中数学 来源:2015-2016学年河北省高一10月月考数学试卷(解析版) 题型:选择题

已知函数上的减函数,那么的取值范围是( )

A.(0,3) B.(0,3] C.(0, 2) D.(0,2]

查看答案和解析>>

科目:高中数学 来源:2015-2016学年河北衡水中学高二上二调考试文科数学试卷(解析版) 题型:选择题

执行如图所示程序框图(算法流程图),输出的结果是

A.5 B.6 C.7 D.8

查看答案和解析>>

科目:高中数学 来源:2015-2016学年河北衡水中学高二上二调考试理科数学试卷(解析版) 题型:选择题

将参加夏令营的名学生编号为:.采用系统抽样的方法抽取一个容量为的样本,且随机抽得的号码为.这名学生分住在三个营区,从在第I营区,从在第II营区,从496到600在第III营区,三个营区被抽中的人数依次为 ( )

A.26,16,8 B.25,17,8 C.25,16,9 D.24,17,9

查看答案和解析>>

科目:高中数学 来源:2015-2016学年广东省高一10月月考数学试卷(解析版) 题型:选择题

上是减函数,则a的取值范围是 ( )

A. B. C. D.

查看答案和解析>>

科目:高中数学 来源:2016届山东省高三10月月考理科数学试卷(解析版) 题型:解答题

(本题满分12分)已知函数

(Ⅰ)若函数的图象在处的切线方程为的值;

(Ⅱ)若函数上是增函数,求实数的最大值.

查看答案和解析>>

科目:高中数学 来源:2016届黑龙江省牡丹江市高三10月月考理科数学试卷(解析版) 题型:填空题

给出下列四个命题:

①半径为2,圆心角的弧度数为的扇形面积为

②若为锐角,,则

③函数的一条对称轴是

④已知,则

其中正确的命题是

查看答案和解析>>

同步练习册答案