精英家教网 > 高中数学 > 题目详情

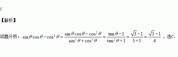
己知tanθ=,则sinθcosθ一cos2θ=( )

A. B.- C. D.

练习册系列答案
相关习题

科目:高中数学 来源:2015-2016学年河北省定州市高二上学期竞赛数学试卷(解析版) 题型:选择题

如图是根据某赛季甲、乙两名篮球运动员每场比赛得分情况画出的茎叶图.从这个茎叶图可以看出甲、乙两名运动员得分的中位数分别是( ).

A.31,26 B.36,23 C.36,26 D.31,23

查看答案和解析>>

科目:高中数学 来源:2014-2015学年广东省湛江市高一下学期期末考试数学试卷(解析版) 题型:填空题

已知平面向量a,则 _________.

查看答案和解析>>

科目:高中数学 来源:2016届云南省高三适应性月考二文科数学试卷(解析版) 题型:填空题

已知且满足约束条件,则的最小值为

查看答案和解析>>

科目:高中数学 来源:2016届云南省高三适应性月考二理科数学试卷(解析版) 题型:选择题

执行如图所示的程序框图,若输入a=1,则输出的k=( )

A、8 B、9 C、10 D、11

查看答案和解析>>

科目:高中数学 来源:2016届四川省高三上学期10月段考理科数学试卷(解析版) 题型:选择题

设函数则使得成立的x的取值范围是( )

A. B.

C. D.

查看答案和解析>>

科目:高中数学 来源:2016届宁夏银川一中高三上学期第三次月考文科数学试卷(解析版) 题型:选择题

已知x、y为正实数,且x,a1,a2,y成等差数列,x,b1,b2,y成等比数列,则 的取值范围是 ( )

A.R B. C. D.

查看答案和解析>>

科目:高中数学 来源:2016届湖北武汉华中师大第一附中高三上期中考试文科数学试卷(解析版) 题型:选择题

已知命题,命题,则( )

A.命题是假命题

B.命题是真命题

C.命题是真命题

D.命题是假命题

查看答案和解析>>

科目:高中数学 来源:2015-2016学年甘肃省嘉峪关市高二上学期期中考试理科数学试卷(解析版) 题型:选择题

有下列四个命题:

①“若 ,则互为相反数”的逆命题;

②“全等三角形的面积相等”的否命题;

③“若 ,则有实根”的逆否命题;

④“不等边三角形的三个内角相等”逆命题;

其中真命题为( )

A.①② B.②③ C.①③ D.③④

查看答案和解析>>

同步练习册答案